研究重點 | Research Foci

English|

(*: corresponding author; #: graduate student of Prof. Wu; ^: Postdoctor of Prof. Wu)

Typhoon Motion

Ito, K., C.-C. Wu, K. Chan, R. Toumi, and C. Davis, 2020: Recent progress in the fundamental understanding of tropical cyclone motion. J. Meteor. Soc. Japan, 98, 5-17

While the fundamental understanding of TC movement is fairly mature, notable advancements are still being made. This paper summarizes new concepts and updates on existing fundamental theories of TC movement obtained from simplified barotropic models, full-physics models, and data analysis particularly since 2014, inclusive of recent works on the interaction of TC with its environment and the fundamental aspects of predictability related to TC movement. The conventional concepts of the steering flow, β-gyre, and diabatic heating remain important. Yet, a more complete understanding of mechanisms governing TC movement serves as an important basis toward further improvement of track forecasting.

Fig. 1. Time series conventional steering data (thick black) and the contributions of the horizontal advection (HA) in the PVT equation (thick purple): (a) zonal component and (b) meridional component. The composition of HA includes the advection of the symmetric potential vorticity component by the asymmetric flow (HA1) and the advection of the wavenumber 1 potential vorticity component by the symmetric flow (HA2) terms. The anomaly in HA1 with respect to the conventional steering is shown in red, while that in HA2 is shown in blue (after Wu and Chen 2016).

Lin#, Y.-F., C.-C. Wu*, T.-H. Yen, Y.-H. Huang, and G.-Y. Lien, 2020: Typhoon Fanapi (2010) and its interaction with Taiwan terrain – evaluation of the uncertainty in track, intensity and rainfall simulations. J. Meteor. Soc. Japan, 98, 93-113.

Results show that the presence of Taiwan topography leads to rapid increase of uncertainty in the simulated track and intensity during landfall, in particular during the early period. Fast moving ensemble members show an earlier southward track deflection as well as an earlier weakening, in turn resulting in a sudden increase of standard deviation in TC track and intensity. The analysis indicated that during the offshore departure from Taiwan, the latitudinal location of the long-lasting and elongated rainband located south to the TC is strongly correlated to the latitude of the TC center. The rainfall uncertainty in southern Taiwan is dominated by uncertainty of the simulated TC rainband location, and the latitudinal position of the storm center appears to be a good predictor of the rainband’s location at departure times. Considering the fact that the rainband impinging the high mountains in the southern Central Mountain Range generates the largest accumulated rainfall, the topographic-lifting effect appears to offer an explanation on how the simulated rainband location affects uncertainty of the simulated rainfall.

Fig. 10. The 2-day accumulated rainfall (mm; shaded) of 28 ensemble members in southern Taiwan from 0000 UTC 18 September to 0000 UTC 20 September 2010 in the CTL experiment. Their order is based on the latitude of the storm center (plotted by TC mark) as TC departs from the west coast of Taiwan.

Huang#, K.-C., and C.-C. Wu*, 2018: The impact of idealized terrain on upstream tropical cyclone Track. J. Atmos. Sci., 75, 3887-3910.

Observations have documented typhoons experiencing pronounced track deflection before making landfall in Taiwan. Such an abrupt turn often results in significant TC track forecast errors, adding challenges to overall TC forecasts. This study found different responsible mechanisms for the southward TC motion at different time periods as the storm approaches the topography. They suggested that the topography-induced large-scale environmental flow turn, the low-level channeling effect, and asymmetries in the midlevel flow all contribute to steering the storm southward.

Fig. 1. Simulated vortex track (blue for CTL and red for NT). The black contours show the idealized terrain height used in CTL at 500-m intervals. The vortex center is marked every 3 h. The ordinate and abscissa represent the longitudinal and latitudinal distances from the terrain center, respectively. The times that the vortex starts to deflect to the south (40 h) and makes landfall (57 h) are marked on CTL.

Yang#, C.-C., C.-C. Wu*, and K. K.-W. Cheung, 2018: Diagnosis of large prediction errors on recurvature of Typhoon Fengshen (2008) in the NCEP_GFS model. J. Meteor. Soc. Japan, 96, 85-96

A steering-flow analysis based on potential vorticity (PV) diagnosis is used to examine the reasons why the National Centers for Environmental Prediction Global Forecast System (NCEP-GFS) model resulted in large track forecast errors with the over-recurving movement of Typhoon Fengshen (2008). The deep-layer-mean (DLM) steering flow between 925 and 300 hPa with TC components filtered out can reasonably account for the continuous westward and northwestward movement in the best track. However, the DLM steering flow is shown more toward the north in the forecast fields. Four distinct PV features are identified as subtropical high, monsoon trough, continental high-, and mid-latitude trough. Their associated balanced steering flows around the storm are quantified by the PV diagnosis, indicating that the reduced westward steering flow in the forecast field is mainly attributed to the over-predicted southwestward extension of the subtropical high, as well as the under-forecasted coverage of the continental high. The steering flow associated with the monsoon trough plays an essential role while Typhoon Fengshen (2008) experiences northward recurvature in both analysis and forecast fields. It is therefore concluded that the under-predicted westward steering flow in NCEP-GFS leads to the over-recurvature of Fengshen in the forecast.

Fig. 1. Joint Typhoon Warning Center (JTWC) best track (typhoon symbols) of Typhoon Fengshen from 0000 UTC 19 Jun to 0600 UTC 25 Jun 2008 and 72-h track forecasts from the NCEP-GFS model initialized on four successive days starting from 0000 UTC 19 Jun 2008. The time interval between each mark is 6 h. Two numbers before and after the slash (“/ ”) indicate the date and the maximum sustained wind in knot (0.514 m s−1) analyzed by JTWC.

Understanding how the Taiwan terrain affects the track, intensity, wind structure, and precipitation distribution is one of Prof. Wu’s key research thrusts. Both observational and numerical studies have been conducted to address this issue (Wu and Kuo 1999, BAMS; Wu 2001, MWR; Wu et al. 2002, Wea. & Forecating; Jian and Wu 2007, MWR; Galewsky et al. 2006, JGR).

The potential vorticity diagnostics was designed to understand the controlling factors affecting typhoon movements. To highlight the binary interaction between two typhoons, the track of one typhoon is plotted as centroid-relative, and with its position weighting based on the steering flow induced by the PV anomaly associated with the other typhoon (Wu et al. 2003, MWR; Yang et al. 2008, MWR). Further research was conducted to evaluate and quantify the physical factors leading to the uncertainty of typhoon movements, such as for Typhoon Sinlaku (2002) (Wu et al. 2004, MWR). This methodology had been adopted by the Central Weather Bureau (CWB) both for research and analysis, and for diagnosing biases in the Bureau’s model forecasts. Further work had been proposed to gain more insight into the physics of the statistical behavior of typhoon tracks in the entire north-western Pacific region. The impacts of the ITCZ and other large scale circulations on the typhoon tracks were also quantified.

Wu*, C.-C., T.-H. Li, and Y.-H. Huang, 2015: Influence of mesoscale topography on tropical cyclone tracks: further examination of the channeling effect. J. Atmos. Sci., 72, 3032-3050.

Ito^, K., and C.-C. Wu*, 2013: Typhoon-position-oriented sensitivity analysis. Part I: Theory and verification. J. Atmos. Sci., 70, 2525-2546.

Wu*, C.-C., S.-G. Chen, C.-C. Yang, P.-H. Lin, and S. D. Aberson, 2012: Potential vorticity diagnosis of the factors affecting the track of Typhoon Sinlaku (2008) and the impact from dropwindsonde data during T-PARC. Mon. Wea. Rev., 140, 2670-2688

Jung, B.-J., H. M. Kim, F. Zhang, and C.-C. Wu, 2012: Effect of targeted dropsonde observations and best track data on the track forecasts of Typhoon Sinlaku (2008) using an ensemble Kalman filter. Tellus A, 64, 1-19.

Liang, J., L. Wu, X. Ge, and C.-C. Wu, 2011: Monsoonal influence on Typhoon Morakot (2009). Part II: Numerical study. J. Atmos. Sci., 68, 2222-2235.

Wu, L., J. Liang, and C.-C. Wu, 2011: Monsoonal influence on Typhoon Morakot (2009). Part I: Observational analysis. J. Atmos. Sci., 68, 2208-2221.

Huang#, Y.-H., C.-C. Wu*, and Y. Wang, 2011: The influence of island topography on typhoon track deflection. Mon. Wea. Rev., 139, 1708–1727.

Wu*, C.-C., S.-G. Chen, J.-H. Chen, K.-H. Chou, and P.-H. Lin, 2009: Comments on "Interaction of Typhoon Shanshan (2006) with the Midlatitude Trough from Both Adjoint-Derived Sensitivity Steering Vector and Potential Vorticity Perspectives" Reply. Mon. Wea. Rev., 137, 4425–4432.

Wu*, C.-C., S.-G. Chen, J.-H. Chen, K.-H. Chou, and P.-H. Lin, 2009: Interaction of Typhoon Shanshan (2006) with the mid-latitude trough from both adjoint-derived sensitivity steering vector and potential vorticity perspectives. Mon. Wea. Rev., 137, 852–862.

Yang#, C.-C., C.-C. Wu*, K.-H. Chou, and C.-Y. Lee, 2008: Binary interaction between Typhoons Fengshen (2002) and Fungwong (2002) based on the potential vorticity diagnosis. Mon. Wea. Rev., 136, 4593-4611.

Jian, G.-J., and C.-C. Wu, 2008: A numerical study of the track deflection of Supertyphoon Haitang (2005) prior to its landfall in Taiwan. Mon. Wea. Rev., 136, 598-615.

Wu*, C.-C., T.-S. Huang, and K.-H. Chou, 2004: Potential vorticity diagnosis of the key factors affecting the motion of Typhoon Sinlaku (2002), Mon. Wea. Rev., 132, 2084-2093.

Wu*, C.-C., T.-S. Huang, W.-P. Huang, and K.-H. Chou, 2003: A new look at the binary interaction: Potential vorticity diagnosis of the unusual southward movement of Tropical Storm Bopha (2000) and its interaction with Supertyphoon Saomai (2000). Mon. Wea. Rev., 131, 1289-1300.

Wu*, C.-C., 2001: Numerical simulation of Typhoon Gladys (1994) and its interaction with Taiwan terrain using GFDL hurricane model. Mon. Wea. Rev., 129, 1533-1549.

Wu*, C.-C., and Y. Kurihara, 1996: A numerical study of the feedback mechanisms of hurricane-environment interaction on hurricane movement from the potential vorticity perspective. J. Atmos. Sci., 53, 2264-2282,

Wu*, C.-C., and K. A. Emanuel, 1995a: Potential vorticity diagnostics of hurricane movement. Part I: A case study of Hurricane Bob (1991). Mon. Wea. Rev., >123, 69-92.

Wu*, C.-C., and K. A. Emanuel, 1995b: Potential vorticity diagnostics of hurricane movement. Part II: Tropical Storm Ana (1991) and Hurricane Andrew (1992). Mon. Wea. Rev., 123, 93-109.

Wu*, C.-C., and K. A. Emanuel, 1993: Interaction of a baroclinic vortex with background shear: Application to hurricane movement. J. Atmos. Sci., 50, 62-76.

Target Observation and Data Assimilation

Tsai#, C.-C., G.-Y. Lien, C. S. Schwartz, S.-Y. Jiang, P.-L. Chang, J.-S. Hong, and C.-C. Wu*, 2025: Impact of RTPS and radar observation-based covariance inflation schemes on an operational convective-scale data assimilation system over Taiwan. Wea. Forecasting, 40, 2159-2177.

This study evaluates two covariance inflation schemes (relaxation-to-prior spread and radar observation-based random additive noise schemes) based on an operational ensemble data assimilation system. Results show that under long continuous cycles, the relaxation-to-prior spread (RTPS) combined with a random additive noise scheme (RAN) can improve the background ensemble spread, analysis fields, and short-term quantitative precipitation forecasting capabilities. In addition, in the random additive noise scheme, adding random noises to only thermodynamic variables can achieve a spread expansion effect that is comparable to perturbing all four dynamic and thermodynamic variables while result in more balanced model initial conditions.

Fig. 12. Fractions skill score (FSS) of hourly accumulated rainfall in 0- to 6-h forecasts initialized from ensemble mean analyses verified against QPESUMS observation. The FSSs are aggregated over 54 forecasts initialized every hour in the period from 0600 UTC 6 June to 1100 UTC 8 June 2022 for the mei-yu case, and computed with a neighborhood radius of 25 km at (a) 6-mm and (b) 20-mm thresholds. The CTL experiment without covariance inflation is gray, the RTPS with only RTPS method is orange, and the R1V combined RTPS and RAN is red. The dots on the top of the plots indicate those forecast hours where the differences to CTL are statistically significant at the 95% confidence level based on a bootstrapping approach with 1000 resamples, and the colors of the dots map to the colors in the legend.

Hirano, S., K. Ito, H. Yamada, S. Tsujino, K. Tsuboki, and C.-C. Wu, 2022: Deep eye clouds observed in tropical cyclone Trami (2018) during T-PARCII dropsonde observations. J. Atmos. Sci., 79, 683-703.

The sporadic and short-lived convective clouds in the eye (termed as deep eye clouds, DECs) of TC Trami (2018) is investigated using aircraft-deployed dropsonde data and simulation results from a coupled atmosphere-ocean model. The dropsonde data, collected during storm-penetrating missions, reveal a moistening eye region during the DEC formation. Simulated results show the weakening of Trami’s low-level warm core, and increased thermodynamic favorability for convection in the eye when DECs are active. DECs are found after TC intensity weakens, and the eyewall moves radially outward with reduced amounts of eyewall convective heating. Sawyer-Eliassen diagnosed results suggest that the weakening and outward displacement of eyewall convective heating reduce the strength of the low-level warm core, creating favorable conditions for the DEC development.

Fig. 4. A time series of (a) the central pressure and (b) maximum wind speed in the best track data from the Japan Meteorological Agency (JMA: black solid curves) and JTWC (black broken curves), the coupled atmosphere–ocean model (blue curves), and the noncoupled atmospheric model (red curves). The best track data are provided every 6 (3) h before (after) 0000 UTC 28 Sep from JMA and every 6 h from JTWC. The central pressures and maximum wind speeds in the models are plotted every 1 h. Crosses indicate estimated values from the dropsonde data deployed in the eye region. Note that the maximum wind speeds provided by the best track data from the JMA and JTWC are 10- and 1-min averages, respectively. The maximum wind speeds in the best track data from the JTWC are shown in (b). This maximum wind speed is multiplied by 0.93 following Harper et al. (2010). Note also that the maximum wind speeds in the coupled and noncoupled models are instantaneous values.

DOTSTAR (Dropwindsonde Observations for Typhoon Surveillance near the TAiwan Region) and targeted observation research

The DOTSTAR (Dropwindsonde Observations for Typhoon Surveillance near the Taiwan Region) program was successfully carried out during 2003-2013 (Wu et al., 2004, MWR; Wu et al., 2005, BAMS; Wu et al., 2006, JAS; Wu et al., 2007a, Wea. Forecasting, b, JAS; Chou and Wu, 2008, MWR; Chen et al., 2009, JAS; Yamaguchi et al., 2009, MWR; Wu et al., 2009a, b, c, MWR; Chou et al., 2010, JGR; Wu et al., 2010, JAS; Chen et al., 2011, MWR; Chou et al., 2011, MWR; Liang et al., 2011, JAS; Weissmann et al., 2011, MWR; Yen et al., 2011, TAO; Huang et al., 2012, JAS; Jung et al., 2012, Tellus A.; Wu et al., 2012a, b, JAS, MWR). A special collection (issue) on “Targeted Observation and Data Assimilation for Improving Tropical Cyclone Predictability” headed by Prof. Wu was published in the Monthly Weather Review in 2009 and 2010.

In total, 69 surveillance flight missions were conducted for 54 typhoons, with 363 flight hours and 1141 dropwindsondes released in the DOTSTAR project. The result is a robust 20% improvement in numerical models (such as NCEP GFS) that represents significant contribution to the study of typhoons (Chou et al. 2011 MWR).

Multiple techniques were proposed to help design the flight path for the targeted observations in DOTSTAR. Wu et al. (2007b JAS) developed a new theory to identify sensitive areas for tropical cyclone (TC) targeted observations based on the adjoint model. By appropriately defining the response functions to represent a typhoon’s steering flow at the verifying time, a unique new parameter, the Adjoint-Derived Sensitivity Steering Vector (ADSSV) was designed to clearly demonstrate the sensitivity locations at the observing time. The ADSSV was examined to demonstrate the precise sensitive locations for the binary interaction (Fujiwhara effect) of two typhoons. The ADSSV was implemented and further examined in the case of Typhoon Shanshan (2006) (Wu et al. 2009b MWR) where the recurvature of the typhoon caused by the approaching mid-latitude trough was precisely captured by the signal of ADSSV and effectively verified by the potential vorticity diagnosis. This is the first paper in which targeted methods had been interpreted dynamically from the potential vorticity perspective. Validation and interpretation of the ADSSV and the ensemble transform Kalman filter (ETKF) as guidance for targeted CT observations was further examined in Chen et al. (2011, MWR) and Majumdar et al. (2011, QJRMS). A new sensitivity analysis method was also developed based on the Ensemble Kalman Filter (EnKF) prediction system (Wu et al. 2010 JAS) in which a TC-position is taken as a metric. (Ito and Wu 2013, JAS)

An inter-comparison study (Wu 2009c MWR) was conducted to examine the common features and differences among all the targeting techniques, such as the Singular Vectors of JMA, NOGAPS and ECMWF, ADSSV, and ETKF. This work involved tremendous international collaborations, headed and coordinated by Prof. Wu, who integrated inputs from 11 co-authors from NTU, NRL, JMA/MRI, NCEP, ECMWF, NOAA/HRD. The results provided valuable insights into the dynamic features of each targeted technique, and their potential applications in real-time targeted observations. This paper was published simultaneously as an ECMWF Technical Memorandum (No. 582). This work was well recognized in WMO’s third THORPEX Science Workshop in Monterey in September 2009, in which Drs. Istvan Szunyogh and Rolf Langland described and commented on its contribution. In 2010, Prof. Wu was invited to give a talk on targeted observation and to serve as the rapporteur for the Seventh WMO International Workshop on Tropical Cyclones (IWTC-VII), La Reunion, France. In 2014, Prof. Wu was invited to Co-chair the Topics 2 for the Eighth WMO International Workshop on Tropical Cyclones (IWTC-VIII) at Jeju. During the conference, Prof. Wu received recognition from WMO WWRP (World Weather Research Programme) for “outstanding contribution to the WMO THORPEX Programme for the years 2005-2014”.

The impact of targeted observations from DOTSTAR data during T-PARC was further evaluated in Harnisch and Weissmann (2011), Weissmann et al. (2011), Chou et al. (2011), Jung et al. (2012), and Wu et al. (2012b). The positive impacts of targeted observations by DOTSTAR were demonstrated and recognized in these studies. DOTSTAR had played a pivotal role in several international field experiments, including T-PARC (THORPEX/PARC; The Observation System Research and Predictability Experiment Pacific-Asian Regional Campaign, T-PARC) in 2008 and ITOP (Impact of Typhoons on the Ocean in the Pacific) in 2010.

Widely recommended as a fully-developed program, DOTSATR was included in the international THORPEX/PARC initiative under the World Meteorological Organization [especially in collaboration with the Japanese program, Typhoon Hunting 2008, TH08, led by Dr. Tetsuo Nakazawa of JMA/MRI; and the US program, “Tropical Cyclone Structure 2008, TCS-08, led by Dr. Patrick Harr of Naval Postgraduate School (currently serving as the Section Head for the Atmosphere Section within the Division of Atmospheric and Geospace Sciences, National Science Foundation, USA)]. This is the first program in which four airplanes (two jets for surveillance, and a P-3 and a C-130 for reconnaissance) were used to observe typhoons in the western North Pacific. The unprecedented data collected are valuable for understanding the physics and dynamics of the genesis, structure change, recurvature, extra-tropical transition, targeting observation, and predictability of tropical cyclones. National Geographic made a one-hour documentary featuring the DOTSTAR and T-PARC programs in 2009 which had been aired over 135 countries.

In ITOP, abundant data had been collected by ASTRA (DOTSTAR), two C130 aircrafts (US Air Force), in addition to numerous buoy and ship observations during the lifetime of Typhoons Fanapi, Malakus, and Megi. The EnKF data assimilation system developed in Wu et al. (2010 JAS) provided a comprehensive high-resolution atmospheric model dataset for further study, especially for physical oceanographers to drive their ocean models in ITOP (D’Asaro et al. 2014, BAMS; Ko et al. 2014, JGR).

A mesoscale model coupling the Weather Research and Forecasting model and the three-dimensional Price-Weller-Pinkel ocean model is used to investigate the dynamical ocean response to Megi (2010). It is found that Megi induces sea surface temperature (SST) cooling very differently in the Philippine Sea (PS) and the South China Sea (SCS). The results are compared to the in situ measurements from the Impact of Typhoons on the Ocean in the Pacific (ITOP) 2010 field experiment, satellite observations, and ocean analysis field from Eastern Asian Seas Ocean Nowcast/Forecast System of the U.S. Naval Research Laboratory (Wu et al., 2016, JGR)

The continuing work in DOTSTAR has shed light on typhoon dynamics, improved the understanding and predictability of typhoon track through the targeted observations, placed the DOTSTAR team at the forefront of international typhoon research, and has made a significant contribution to the study of typhoons in the northwestern Pacific and East Asia region.

Starting from 2013, Prof. Wu successfully transferred the standard operation procedure of DOTSTAR to CWB (Central Weather Bureau) and TTFRI (Taiwan Typhoon and Flood Research Institute), with detailed information available at http://typhoon.as.ntu.edu.tw/ DOTSTAR/en/. This is a paradigm shift for transferring the know-how from scientific research to operation.

A new vortex initialization method based on the ensemble Kalman filter (EnKF) data assimilation system

A new TC vortex initialization method was developed in Wu et al. 2010 (JAS) based on the EnKF data assimilation system, which effectively provides well-balanced initial TC vortex structure dynamically consistent with the model. Three special observational parameters of TCs, including TC center position, storm motion vector and a single-level (either surface of flight level) axisymmetric wind profile, were innovatively adopted and assimilated via the EnKF methodology. This newly developed vortex initialization method had been deployed to numerical simulations of different typhoons, such as Typhoons Fung-wong (2008; Wu et al, 2010, JAS), Sinlaku (2008; Wu et al. 2011 MWR), Morakot (2009; Yen et al. 2011, TAO) and other typhoons, in particular, those with aircraft surveillance observations from DOTSTAR (2003-), T-PARC (2008), and ITOP (2010). Results of these studies showed improvement in typhoon simulations and forecasts when this vortex initialization method is applied. Meanwhile, the ensemble members created from the EnKF data assimilation system provides information for predicting typhoon evolution, including the movement, intensity, structure and the associated precipitation.

This newly proposed vortex initialization had facilitated advancement in the dynamical research on typhoons in many aspects, such as in the formation and evolution of the concentric eyewall structure (Wu et al. 2012a MWR; Huang et al. 2012, JAS), and the impact of typhoons’ translation speed on the associated precipitation (Yen et al. 2011, TAO). This EnKF vortex initialization methodology had been applied to studies of different issues on various typhoons [e.g., Typhoon-Ocean interaction in Typhoon Fanapi (2010) using ITOP data], and can also be used to help the design of idealized numerical experiments. This method would continue to shed light on the scientific understanding of typhoons, and most importantly to improve typhoon forecasting.

Lee, J. D., D.-S. R. Park, K. Ito, and C.-C. Wu, 2021: Effects of the assimilation of relative humidity reproduced from T-PARCII and Himawari-8 satellite imagery using dynamical initialization and ocean-coupled model: A case study of Typhoon Lan (2017). J. Geophys. Res. Atmos., 126, 1-13.

Cohn, S. A., Terry H., P. Cocquerez, J. Wang, F. Rabier, D. Parsons, P. Harr, C.-C. Wu, P. Drobinski, F. Karbou , S. Vénel, A. Vargas, N. Fourrié, N. Saint-Ramond, V. Guidard , A. Doerenbecher, H.-H. Hsu, P.-H. Lin, M.-D. Chou, J.-L. Redelsperger, C. Martin, J. Fox, N. Potts, K. Young, and H. Cole, 2013: Driftsondes: Providing in-situ long-duration dropsonde observations over remote regions. Bull. Amer. Meteor. Soc., 1661-1674.

Chou#, K.-H., C.-C. Wu, and S.-Z. Lin, 2013: Assessment of the ASCAT wind error characteristics by global dropwindsonde observations. J. Geophys. Res. Atmos., 118, 9011–9021.

Huang, S.-M., R.-R. Hsu, L.-J. Lee, H.-T. Su, C.-L. Kuo, C.-C. Wu, J.-K. Chou, S.-C. Chang, Y.-J. Wu, and A. B. Chen*, 2012: Optical and radio signatures of negative gigantic jets – cases from Typhoon Lionrock (2010). J. Geophys. Res. Atmos., 117, A08307.

Jung, B.-J., H. M. Kim, F. Zhang, and C.-C. Wu, 2012: Effect of targeted dropsonde observations and best track data on the track forecasts of Typhoon Sinlaku (2008) using an ensemble Kalman filter. Tellus A, 64, 1-19.

Wu*, C.-C., Y.-H. Huang, and G.-Y. Lien, 2012: Concentric eyewall formation in Typhoon Sinlaku (2008) – Part I: Assimilation of T-PARC data based on the Ensemble Kalman Filter (EnKF). Mon. Wea. Rev., 140, 506-527.

Wu*, C.-C., and M.-J. Yang, 2011: Preface to the special issue on "Typhoon Morakot (2009): Observation, modeling, and forecasting". Terr. Atmos. Ocean. Sci., 22, 533-533.

Chou#, K.-H., C.-C. Wu*, P.-H. Lin, S. D. Aberson, M. Weissmann, F. Harnisch, and T. Nakazawa, 2011: The impact of dropwindsonde observations on typhoon track forecasts in DOTSTAR and T-PARC. Mon. Wea. Rev., 139, 1728–1743.

Chen#, S.-G., C.-C. Wu*, J.-H. Chen, and K.-H. Chou, 2011: Validation and interpretation of Adjoint - Derived Sensitivity Steering Vector as targeted observation guidance. Mon. Wea. Rev., 139, 1608–1625.

Majumdar, S. J.*, S. -G. Chen, and C.-C. Wu, 2011: Characteristics of Ensemble Transform Kalman Filter adaptive sampling guidance for tropical cyclones. Quart. J. Roy. Meteor. Soc., 137, 503-520.

Weissmann M., F. Harnisch, C.-C. Wu, P.-H. Lin, Y. Ohta, K. Yamashita, Y.-K. Kim, E.-H. Jeon, T. Nakazawa, and S. Aberson, 2011: The influence of dropsondes on typhoon track and mid-latitude forecasts. Mon. Wea. Rev., 139, 908-920.

Wu*, C.-C., G.-Y. Lien, J.-H. Chen, and F. Zhang, 2010: Assimilation of tropical cyclone track and structure based on the Ensemble Kalman Filter (EnKF). J. Atmos. Sci., 67, 3806-3822.

Lee, L.-J., A. B. Chen, S.-C. Chang, C.-L. Kuo, H.-T. Su, R.-R. Hsu, C.-C. Wu, P.-H. Lin, H. U. Frey, S. Mende, Y. Takahashi, and L.-C. Lee, 2010: The controlling synoptic-scale factors for the distribution of the transient luminous events (TLEs). J. Geophys. Res. Atmos., 115, A00E54.

Chou#, K.-H., C.-C. Wu*, P.-H. Lin, and S. Majumdar, 2010: Validation of QuikSCAT wind vectors by dropwindsonde data from Dropwindsonde Observations for Typhoon Surveillance Near the Taiwan Region (DOTSTAR), J. Geophys. Res. Atmos., 115, D02109.

Wu*, C.-C., S.-G. Chen, J.-H. Chen, K.-H. Chou, and P.-H. Lin, 2009: Comments on "Interaction of Typhoon Shanshan (2006) with the Midlatitude Trough from Both Adjoint-Derived Sensitivity Steering Vector and Potential Vorticity Perspectives" Reply. Mon. Wea. Rev., 137, 4425–4432.

Wu*, C.-C., J.-H. Chen, S. J. Majumdar, M. S. Peng, C. A. Reynolds, S. D. Aberson, R. Buizza, M. Yamaguchi, S.-G. Chen, T. Nakazawa , and K.-H. Chou, 2009: Intercomparison of targeted observation guidance for tropical cyclones in the Northwestern Pacific. Mon. Wea. Rev., 137, 2471-2492.

Yamaguchi M., T. Iriguchi, T. Nakazawa, and C.-C. Wu, 2009: An observing system experiment for Typhoon Conson (2004) using a singular vector method and DOTSTAR data. Mon. Wea. Rev., 137, 2801-2816.

Chou#, K.-H., and C.-C. Wu*, 2008: Development of the typhoon initialization in a mesoscale model – Combination of the bogused vortex with the dropwindsonde data in DOTSTAR. Mon. Wea. Rev., 136, 865-879.

Zang, X., T. Li, F. Weng, C.-C. Wu, and L. Xu, 2007: Reanalysis of Western Pacific typhoons in 2004 with multi-satellite observations. Meteorol. Atmos. Phys., 3-18.

Wu*, C.-C., K.-H. Chou, P.-H. Lin, S. D. Aberson, M. S. Peng, and T. Nakazawa, 2007: The impact of dropwindsonde data on typhoon track forecasts in DOTSTAR. Wea. Forecasting, 22, 1157-1176.

Wu*, C.-C., J.-H. Chen, P.-H. Lin, and K.-S. Chou, 2007: Targeted observations of tropical cyclone movement based on the adjoint-derived sensitivity steering vector. J. Atmos. Sci., 64, 2611-2626.

Wu*, C.-C., K.-H. Chou, Y. Wang, and Y.-H. Kuo, 2006: Tropical cyclone initialization and prediction based on four-dimensional variational data assimilation. J. of Atmos. Sci., 63, 2383–2395.

Wu*, C.-C., P.-H. Lin, S. Aberson, T.-C. Yeh, W.-P. Huang, K.-H. Chou, J.-S. Hong, G.-C. Lu, C.-T. Fong, K.-C. Hsu, I-I Lin, P.-L. Lin, C.-H. Liu, 2005: Dropwindsonde Observations for Typhoon Surveillance near the Taiwan Region (DOTSTAR): An overview. Bulletin of Amer. Meteor. Soc., 86, 787-790.

Typhoon Genesis / Intensity / Structure

Chen#, J.-Y., and C.-C. Wu*, 2026: Exploring the causes of difference in moat width in concentric eyewalls - Ensemble simulations of Typhoon Haiyan (2013) Mon. Wea. Rev., 154, 423–444.

This study uses Typhoon Haiyan (2013) as the baseline and employs ensemble simulations to generate 40 members that undergo a complete eyewall replacement cycle. Based on the moat width at the time of secondary eyewall formation, the top 25% of members with the widest moats are classified as the Wide Group (WG), and the bottom 25% with the narrowest moats are classified as the Narrow Group (NG). Analysis shows that NG experiences weaker vertical wind shear before secondary eyewall formation, allowing more active outer rainband convection on the upshear side. This enhanced convection produces stronger low-level inflow through diabatic heating, enabling the inflow to penetrate deeper into the storm core and trigger secondary eyewall formation closer to the center, resulting in a narrower moat. In contrast, WG experiences stronger vertical wind shear before secondary eyewall formation, which suppresses outer rainband convection on the upshear side and weakens low-level inflow. The weaker inflow cannot penetrate deeply into the storm core and instead triggers secondary eyewall formation farther from the center, producing a wider moat.

Fig. 12. Radius-height plots of composite shear-related quadrant mean radial velocity (color shaded, m s-1) at 18 hours before SEF. (a)-(d): NG, (e)-(h): WG, (i)-(l): NG-WG difference, respectively. Hatched areas in (i)-(l) indicate differences confirmed through statistical testing.

Hsu#, C.-K., and C.-C. Wu*, 2025: Exploring the role of cloud radiative feedback in tropical cyclogenesis utilizing satellite and reanalysis dataset. J. Atmos. Sci., 82, 1137–1160.

Recent studies based on modeling frameworks have shown that cloud radiative feedback can accelerate the early-stage development of tropical cyclones (TCs). In this study, we utilize satellite data from Clouds and the Earth's Radiant Energy System (CERES) and CloudSat, along with ERA5 reanalysis, to explore the role of cloud radiative feedback in TC genesis by comparing developing (DEV) and non-developing (NDEV) TC seeds in their early stages. Results show that cloud longwave heating dominates the positive feedback of convective organization and drives a transverse circulation, which assists in moistening the inner core of incipient vortex. In contrast, shortwave plays a minor role and modulates the diurnal structure variation. The comparison between DEV and NDEV systems reveals that the DEV group exhibits more vigorous convection near vortex center, generating stronger cloud longwave feedback and circulation response, which further favors TC genesis. The examination of environmental factors further demonstrates that vigorous convection in the DEV system is associated with less ventilation, primarily attributed to weaker vertical wind shear (VWS) and lower mid-level entropy deficit.

Fig. 10. (a) The box plot depicting all CMSE variance budget terms (day-1) averaged within 500 km × 500 km boxes around vortex centers for the DEV (orange) and NDEV (blue) groups in stage 1, including longwave (LW), shortwave (SW), surface enthalpy flux (SEF), advection (ADV), tendency (TEND), and mass (MASS). (b) Same as in (a), but showing the decomposition of radiative feedbacks, including longwave cloud effect (LW Cloud), longwave clear-sky condition (LW Clear), shortwave cloud effect (SW Cloud), and shortwave clear-sky condition (SW Clear). The boxes indicate the first quartile (Q1), median, and the third quartile (Q3). The whiskers extend to 1.5 times the interquartile range (IQR), and cross markers denote the sample mean. Note that the ordinates in (a) is broken between -0.55 to -0.35 and 0.35 to 0.55 for clarity in presenting data across a large range.

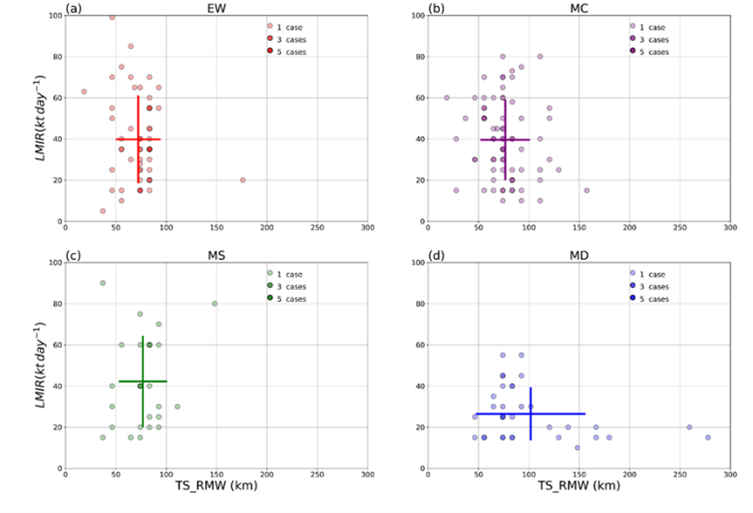
Chung#, M.-H., and C.-C. Wu*, 2025: On tropical cyclone genesis types and their intensification rate. Mon. Wea. Rev., 153, 811-830.

This study develops a new objective method to classify TC genesis types based on the K-means clustering algorithm of critical atmospheric parameters available from reanalysis data. For comparison between intensification rate and RMW, the lifetime maximum intensification rate (LMIR) in each case is also examined. The result shows an inverse relationship between the LMIR and LMIR-period RMW. Furthermore, TCs with larger initial RMW usually have lower LMIR, implying the importance of initial RMW. The K-means cluster analysis shows four TC genesis types: (i) easterly wave (EW), (ii) monsoon confluence (MC), (iii) monsoon shear (MS), and (iv) monsoon depression (MD). EW has the most aggregated convection and a moist area only around the center, indicating why EW has a small RMW. In contrast, MD has more scattered convection and larger circulation than others. Consequently, MD has a significantly larger initial RMW and lower LMIR than EW. Although both MC and MS have medium RMW sizes that fall between those of EW and MD, their LMIR is as high as that in EW because of aggregated convection similar to EW, resulting in RMW contraction and an LMIR similar to EW.

Fig. 14. Scatter plots of LMIR and TS_RMW for favorable-environment cases in different genesis types: (a) EW, (b) MC, (c) MS, and (d) MD. Crosslines indicate the mean and one standard deviation of TS_RMW and LMIR for each genesis type.

Chen#, Y.-L., and C.-C. Wu*, 2025: The impact of outer-core structure on eye formation and intensification of tropical cyclones. Mon. Wea. Rev., 153, 285-308.

A set of TCs with modified outer-core wind profiles of Typhoon Soudelor (2015) is set up. As compared to the largest TC, the smallest TC possesses low-level convergence and midlevel latent heating more concentrated inside the RMW with higher inertial stability, and a stronger, deeper and higher-altitude upper-level warm core. For the smallest TC, more subsidence warming associated with more vigorous overshooting is found in the lower stratosphere above the eyewall. The warmer air can be efficiently advected into the upper-level center since: 1) the overshooting convection aggregates at a smaller radius and 2) the overshooting convection more frequently occurs at the upwind side of environmental flow owing to its higher angular velocity and faster axisymmetrization. It can be concluded that, for the smaller TCs, the more dominant role of the stratosphere in transporting much higher potential temperature downward appears to be the key leading to their higher intensification rate.

Fig. 20. (a) Time-azimuth plot of radial maximum of W (shaded, m s-1) at 16.5 km height within the annulus of 25-50 km radius. Azimuthal angles (in meteorology angles) of environmental SRF at 17 km height within the annulus of 100-200 km radius and 200-850 hPa VWS within the annulus of 200-800 km radius are denoted in black and grey lines, respectively. (c) Time evolution of accumulated total advection in each hour (bar, K) and θ’ (red line, K) at 15 km height within a radius of 25 km. (b) As in (a), but for A14, and the annulus of 50-100 km is adopted for radial maximum of W due to its larger eyewall. (d) As in (c), but for A14 and within the radius of 50 km due to its larger warm core. Two brown lines in each panel denote the onset and end time of significant intensification, respectively. The green line in each pane denotes the eye formation time.

Chen#, Y.-L., and C.-C. Wu*, 2025: The impact of outer-core structure on eye formation and intensification of tropical cyclones. Mon. Wea. Rev., 153, 285-308.

A set of TCs with modified outer-core wind profiles of Typhoon Soudelor (2015) is set up. As compared to the largest TC, the smallest TC possesses low-level convergence and midlevel latent heating more concentrated inside the RMW with higher inertial stability, and a stronger, deeper and higher-altitude upper-level warm core. For the smallest TC, more subsidence warming associated with more vigorous overshooting is found in the lower stratosphere above the eyewall. The warmer air can be efficiently advected into the upper-level center since: 1) the overshooting convection aggregates at a smaller radius and 2) the overshooting convection more frequently occurs at the upwind side of environmental flow owing to its higher angular velocity and faster axisymmetrization. It can be concluded that, for the smaller TCs, the more dominant role of the stratosphere in transporting much higher potential temperature downward appears to be the key leading to their higher intensification rate.

Fig. 20. (a) Time-azimuth plot of radial maximum of W (shaded, m s-1) at 16.5 km height within the annulus of 25-50 km radius. Azimuthal angles (in meteorology angles) of environmental SRF at 17 km height within the annulus of 100-200 km radius and 200-850 hPa VWS within the annulus of 200-800 km radius are denoted in black and grey lines, respectively. (c) Time evolution of accumulated total advection in each hour (bar, K) and θ’ (red line, K) at 15 km height within a radius of 25 km. (b) As in (a), but for A14, and the annulus of 50-100 km is adopted for radial maximum of W due to its larger eyewall. (d) As in (c), but for A14 and within the radius of 50 km due to its larger warm core. Two brown lines in each panel denote the onset and end time of significant intensification, respectively. The green line in each pane denotes the eye formation time.

Ito, K., Y. Miyamoto, C.-C. Wu, A. Didlake, J. Hlywiak, Y.-H. Huang, T.-K. Lai, L. Pattie, N. Qin, U. Shimada, D. Tao, Y. Yamada, J. A. Zhang, S. Kanada, and D. Herndon, 2025: Recent research and operational tools for improved understanding and diagnosis of tropical cyclone inner core structure. J. Meteor. Soc. Japan, 103(2), 1-34.

The inner core of tropical cyclones (TCs) is central to their energetics and undergoes significant structural changes. This review summarizes recent advances in understanding inner-core processes—including small-scale features, rapid intensification, and eyewall cycles—as well as operational practices for monitoring them. Progress in both research and operations has improved disaster prevention, though the impacts of climate change on TC inner-core structure remain uncertain.

Fig. 1. The adjustment of vortex column, warming anomalies and updrafts during the transition period from before RI onset to after RI onset. Figure 16 of Tao and Zhang (2019). © American Meteorological Society. Used with permission

Lau, K. H., C.-Y. Tam, and C.-C. Wu, 2024: Island-induced eyewall replacement in a landfalling tropical cyclone: A model study of super Typhoon Mangkhut (2018). J. Geophys. Res. Atmos., 129, 1-19.

An unconventional island-induced eyewall replacement (IER) occurred in Super Typhoon Mangkhut (2018) as it crossed Luzon. The original compact eyewall rapidly dissipated upon landfall, and a new, much larger eyewall (150–200 km radius) formed after the storm re-emerged over the South China Sea. Unlike typical eyewall replacement cycles, the breakdown of the original eyewall preceded the new eyewall formation. Numerical experiments confirmed that Luzon’s terrain was critical for both processes, with axisymmetric analysis showing that changes in boundary-layer dynamics and convergence initiated and sustained the new eyewall.

Fig. 5. Simulated radar reflectivity (shading; units: dBZ) in CTL at 6 km altitude, above the freezing level. Timestamps are in UTC. Red timestamps indicate that the simulated tropical cyclone (TC) center was over Luzon Island. The model terrain height of Luzon Island (in 500 m intervals) is indicated by black contours. Three circles at 55.5 km (0.5°), 111 km (1°), and 166.5 km (1.5°) from the storm center are plotted in each panel. The TC center automatically tracked by Weather Research and Forecasting Model is labeled by a black triangle.

Hendricks, E. A., Y. Wang, L. Wu, A. C. Didlake, and C.-C. Wu, 2023: Editorial: Tropical cyclone intensity and structure changes: theories, observations, numerical modeling and forecasting. Front. Earth Sci., 11, 1-3.

Chen#, Y.-A., and C.-C. Wu*, 2023: Environmental forcing of upper - tropospheric cold low on tropical cyclone intensity and structural change. J. Atmos. Sci., 80, 1123-1144.

The interaction between Typhoon Nepartak (2016) and the upper-tropospheric cold low (UTCL) is simulated to better understand the impact of UTCL on the structural and intensity change of tropical cyclones (TCs). An experiment without UTCL is also performed to highlight the quantitative impacts of UTCL. Furthermore, idealized sensitivity experiments are carried out to further investigate the specific TC–UTCL configurations leading to different interactions. It is shown that a TC interacting with the UTCL is associated with a more axisymmetric inner-core structure and an earlier rapid intensification. Three plausible mechanisms related to the causality between a UTCL and the intensity change of TC are addressed. First, the lower energy expenditure on outflow expansion leads to higher net heat energy and intensification rate. Second, the external eddy forcing reinforces the secondary circulation and promotes further TC development. Ultimately, the shear-induced downward and radial ventilation of the low-entropy air is unexpectedly reduced despite the presence of UTCL, leading to stronger inner-core convections in the upshear quadrants. In general, the TC–UTCL interaction process of Nepartak is favorable for TC intensification owing to the additional positive effect and the reduced negative effect. In addition, results from sensitivity experiments indicate that the most favorable interaction would occur when the UTCL is located to the north or northwest of the TC at a stable and proper distance of about one Rossby radius of deformation of the UTCL.

Fig. 18. The schematic diagram of real-case simulations. (a) Favorable interaction in CTRL; (b) without UTCL (NoCL).

Chen#, Y.-L., and C.-C. Wu*, 2022: On the two types of tropical cyclone eye formation: Clearing formation and banding formation. Mon. Wea. Rev., 150, 1457-1473.

By analyzing brightness temperature from 14-year satellite observations, this study categorizes two types of eye formation in tropical cyclones: “clearing formation (CF)” and “banding formation (BF)”. TCs with CF have significantly higher intensity and intensification rate during the period of the first eye presence, smaller size after genesis and prior to eye formation, smaller eye size when the eye forms and a more westward track. CF and BF TCs tend to occur in autumn and summer, respectively. In addition, CF TCs are generally characterized by easterly-wave features with a dryer environment, smaller initial size and larger radial gradient of vorticity, while the BF TCs are often featured with a monsoon depression with a moister environment, larger initial size and flatter vorticity profile.

A conceptual hypothesis is thus proposed. As compared to BF TCs, the smaller size and weaker outer wind in CF storms associated with the easterly-wave disturbance are facilitated by inactive outer convection, leading to larger radial gradient of inertial stability. The low-level inflow can penetrate inward close to the center, resulting in a greater amount of diabatic heating inside the radius of maximum wind with much higher heating efficiency, and also a higher intensification rate.

Fig. 1. TB (°C) captured by the 10.4-μm channel in Himawari-8. (a)–(d) The TB evolution of Typhoon Goni (2020). (e)–(h) The TB evolution of Typhoon Dujuan (2015).

Yan, Z., X. Ge, Z. Wang, C.-C. Wu, and M. Peng, 2021: Understanding the impacts of upper-tropospheric cold low on typhoon Jongdari (2018) using piecewise potential vorticity inversion. Mon. Wea. Rev., 149, 1499–1515.

Lee#, T.-Y., C.-C. Wu*, and R. Rios-Berrios, 2021: The role of low-level flow direction on tropical cyclone intensity changes in a moderate-sheared environment. J. Atmos. Sci., 78, 2859–2877.

Environmental vertical wind shear is generally regarded as one of the inhibiting factors for TC intensification. Under the moderate deep-layer shear (DLS) condition, intensity forecasts are characterized by large errors. In earlier studies, in order to simplify the structure of background flow, the meridional component of DLS and low-level flow are usually ignored. In other words, low-level flow direction is set parallel to DLS and vertically uniform below a specific pressure level. In this study, we conducted a series of WRF simulations with idealized settings to investigate the role of low-level flow direction in TC intensification and structure change. The results show that different shear-oriented low-level flow can lead to a variety of pathways to intensification. Axisymmetrization of the inner core is an important process for reintensification. Several mechanisms, including upshear precession and reformation, are examined to show how the shear-relative low-level flow affects the TC intensity change.

Fig. 1. (a) The hodographs (250–600 hPa) of the horizontal environmental flow used in each member of the LLF experiment. The black thick arrow indicates the 7.0 m s−1 westerly deep-layer shear. The solid circle (diamond) symbol signifies the 600-hPa (250-hPa) level. (b) The vertical profile of the horizontal wind vectors for the corresponding LLF direction.

Shen#, L.-Z., C.-C. Wu*, and F. Judt, 2021: The role of surface heat fluxes on the size of Typhoon Megi (2016). J. Atmos. Sci., 78, 1075-1093.

While suppression of the wind-induced surface heat feedback in the whole outer-core region constricts the size of Typhoon Megi (2016), the same degree of suppression on wind-induced surface heat feedback in a narrow ring region (e.g., ranging from 3 to 4 times the radius of the maximum wind) results in a lager TC size. In the former case, suppression of surface heat fluxes in the outer-core region leads to less active outer rainbands and a more substantial weakening of the secondary circulation, resulting in less absolute momentum import from the outer region and in turn a smaller TC. In the latter case, the expansion of TC size is attributed to the enhancement of convective activities near the outer edge of the ring area, where the boundary layer inflow decelerates and the low-level convergence augments.

Fig. 8. The evolution of size evolution of (a) ALL, (b) R03, and (c) R36. The size is defined as the radius where the wind speed at 2-km height is 25 m s−1.

Peng#, C.-H., and C.-C. Wu*, 2020: The impact of outer-core surface heat fluxes on the convective activities and rapid intensification of tropical cyclones. J. Atmos. Sci., 77, 3907-3927.

The impact of the surface heat flux on the rapid intensification occurrence/process of Typhoon Soudelor (2015) is studied. It is found that suppression of the wind-induced surface heat feedback within the radial interval from 1 to 2.5 times the inner-core size, effectively hinders the rapid intensification of the simulated storm. In contrast, suppression of the wind-induced surface heat feedback process further outside this radial interval slightly facilitates the rapid intensification by suppressing/concentrating convective activities in the outer-core/inner-core region.

Fig. 1. Experimental design of the CTRL and sensitivity experiments. The blue-shaded area indicates the region in which the surface heat fluxes are suppressed. The inner and outer dark blue dotted circles represent the radii of 60 and 500 km, which is equivalent to the outer boundary of the surface-heat-flux-suppressed area. The distance from the TC center to the inner boundary of the flux-suppressed area is in white.

Lee#, J.-D., C.-C. Wu*, and K. Ito, 2020: Diurnal variation of the convective area and eye size associated with the rapid intensification of tropical cyclones. Mon. Wea. Rev., 148, 4061-4082.

This study examines the diurnal variation of the convective area and eye size of 30 rapidly intensifying tropical cyclones (RI TCs) that occurred in the western North Pacific from 2015 to 2017 utilizing Himawari-8 satellite imagery. The convective area can be divided into the active convective area (ACA), mixed phase, and inactive convective area (IACA) based on specific thresholds of brightness temperature. In general, ACA tends to develop vigorously from late afternoon to early the next morning, while mixed phase and IACA develop during the day. This diurnal pattern indicates the potential for ACA to evolve into mixed phase or IACA over time. From the 30 samples, RI TCs tend to have at least a single-completed diurnal signal of ACA inside the RMW during the rapidly intensifying period. In the same period, the RMW also contracts significantly. Meanwhile, more intense storms such as those of category 4 or 5 hurricane intensity are apt to have continuous ACA inside the RMW and maintain eyewall convective clouds. These diurnal patterns of ACA could vary depending on the impact of large-scale environments such as vertical wind shear, ocean heat content, environmental mesoscale convection, and terrain. The linear regression analysis shows that from the tropical storm stage, RI commences after a slow intensification period, which enhances both the primary circulation and eyewall convective cloud. Finally, after the eye structure appears in the satellite imagery, its size changes inversely to the diurnal variation of the convective activity (e.g., the eye size becomes larger during the daytime).

Fig. 4. The vertical wind shear (VWS) magnitude (on the left axis) and direction (on the right axis) computed from different pressure levels denoted by solid lines and pentagrams of different colors. The magnitude and direction of 850–200 hPa VWS is highlighted by a thick solid line and large pentagram. The VWS direction in the right ordinate indicates a downshear direction; for example, the W represents a shear direction from East to West. The abscissa denotes the time in the month–day–hour format. The RI period is indicated by two vertical-dashed lines.

Hu#, C.-C., and C.-C. Wu*, 2020: Ensemble sensitivity analysis of tropical cyclone intensification rate during the development stage. J. Atmos. Sci., 77, 3287-3405.

Ensemble sensitivity analysis based on convective-permitting ensemble simulations is used to understand the processes associated with TC intensification under idealized conditions. Partial correlations between different variables and the future TC intensification rate, with the effect of intensity removed, are used to identify the sensitive factors. It is found that the equivalent potential temperature (θe) in the region from the RMW to 3 times the RMW below 2 km (hereafter, the sensitive region) has the largest correlation (over 0.7) with 2.5-h intensity change. It is found that higher θe in the sensitive region is associated with not only a stronger updraft but also an inward shift of vertical motion in the mid- to upper eyewall. This suggests that higher θe just outside the RMW is favorable for TC intensification not only because of the larger amount of the heating, but also due to the heating location that is closer to the center. Trajectory analysis shows that the parcels in the sensitive region are mainly from the boundary layer inflow and the midlevel inflow. It is found that when the outer rainband is active, the midlevel inflow becomes stronger and is able to bring more low-θe air into the boundary layer, and the θe radially inward to the rainband decreases. Verification experiments verify that higher θe around the RMW to 3 times the RMW is favorable for TC intensification, while higher θe away from 5 times the RMW is shown to be unfavorable for TC intensification.

Fig. 5. (a),(b) The spatial correlation between the radial wind averaged in the black contour and the radial wind in space (colored contours), and the spatial correlation between the radial wind averaged in the black contour and the vertical motion in space (shading). (c),(d) The spatial correlation between the equivalent potential temperature averaged in the black contour and the equivalent potential temperature in space (colored contours) and the spatial correlation between the equivalent potential temperature averaged in the black contour and the radial wind in space (shading). The x axis is the radius normalized by RMW and the y axis is the height.

Cheng#, C.-J., and C.-C. Wu*, 2020: The role of WISHE in the rapid intensification of tropical cyclones. J. Atmos. Sci., 77, 3139-3160.

The impact of the surface heat flux feedback on the rapid intensification occurrence/process of Typhoon Megi (2010) is studied. A weaker wind-induced surface heat feedback feedback delays the onset time of RI, and the simulated storm therfore has weaker peak intensity. A stronger wind-induced surface heat feedback leads to a faster increase of low-level equivalent potential temperature and thus growing convective instability, resulting in more frequent and stronger convective activity and faster TC intensification rates. The simulated storm can therefore reach a stronger peak intensity, establish a stronger and deeper TC warm core, and a higher degree of axsisymmetry of upper-level TC structure. In all, this study supports the crucial role of wind-induced surface heat feedback in affecting TC intensification rate for TCs with RI.

Fig. 8. Radius–height plots of diabatic heating rate (shaded, K h−1), radial winds (black contours, m s−1), and absolute angular momentum (blue contours, m2 s−1), averaged for (a),(c),(e) the first and (b),(d),(f) the second 12-h periods after RI onset of (top) CTL, (middle) CAP-20, and (bottom) CAP-15.

Lee#, J.-D., and C.-C. Wu*, 2018: The role of polygonal eyewalls in rapid intensification of Typhoon Megi (2010). J. Atmos. Sci., 75, 4175-4199.

The polygonal eyewall structure is identified in the Weather Research and Forecasting (WRF) simulations of Typhoon Megi (2010) during its RI period. Winds often amplify near each vertex of the polygonal eyewall, resulting in high inertial stability, more energy gain from enhanced local surface heat fluxes, greater supergradient winds, and a higher frequency of convective bursts (CBs) located inside the radius of maximum wind (RMW). The findings suggested that the polygonal structure of the eyewall is likely to facilitate RI by amplifying dynamical processes conducive to intensification of winds and convection at each vertex, and therefore would enhance the impact of these processes on the vortex-scale intensification.

Fig. 3. The cross sections of tangential (contour; m s−1) and radial wind structures (shaded; m s−1) of different cycle runs for (a) first run, (b) sixth run, and (c) twelfth run. The abscissa and ordinate indicate the radial distance (km) and pressure level (hPa), respectively. The tangential wind is illustrated with a 8 m s−1 interval from the outmost contour. The tangential wind in the final cycle run reaches approximately 40 m s−1 at around 850 hPa.

Cheng#, C.-J., and C.-C. Wu*, 2018: The role of WISHE in secondary eyewall formation. J. Atmos. Sci., 75, 3823-3841.

Results demonstrated that the surface heat flux feedback outside the secondary eye formation (SEF) region plays a particularly crucial role in SEF. In contrast, suppressing the surface heat flux feedback in the storm’s inner-core region has limited effect on the evolution of the outer eyewall.

Fig. 7. Time–radius Hovmöller diagrams of the azimuthal-mean vertical velocity (shaded; m s−1) and 1-km tangential wind (contours; m s−1) of (a) OSC-01, (b) OSC-05, (c) OSC-10, and (d) OSC-15. The black dashed line indicates the SEF time in CTL, and the red dashed line indicates the SEF time in each experiment. The blue arrows indicate the selected regions of suppressed heat fluxes.

Huang^, Y.-H., C.-C. Wu*, and M. T. Montgomery, 2018: Concentric eyewall formation in Typhoon Sinlaku (2008). Part III: Horizontal momentum budget analyses. J. Atmos. Sci., 75, 3541-3563.

TC’s SEF can be regarded as an intensification process in the storm’s outer-core region. In two of Prof. Wu’s papers, a new dynamical pathway to SEF was proposed based on ensemble simulations of Typhoon Sinlaku (2008) in which inner-core observations collected by aircrafts during T-PARC are effectively and efficiently assimilated. The pathway includes precursory flow characteristics and a sequence of unbalanced responses within and just above the boundary layer. Based on firm evidence, it is proposed that these unbalanced responses can form an important mechanism for continuously concentrating, sustaining and/or triggering deep convection in a narrow supergradient-wind zone in the outer-core region of a mature TC, and thus for SEF. This is a follow-up work to the two prior studies, presenting new tests of the proposed dynamical SEF pathway. The presented budget analyses provide new quantitative evidence in support of the unbalanced boundary layer pathway to SEF.

Fig. 1. Radius–height cross sections of the azimuthally averaged (a) tangential velocity from the ocean surface to the model top and (b) radial velocity (red: outflow; blue: inflow; gray: 0 m s−1) in the lowest 5 km [highlighted by the dashed box in (a)] at 2 h after SEF. Contour intervals of tangential and radial velocity are 5 and 2 m s−1, respectively. Additional contours of ±0.5 m s−1 are plotted in (b).

Chen, G., C.-C. Wu, and Y.-H. Huang, 2018: The role of near-core convective and stratiform heating/cooling in tropical cyclone structure and intensity. J. Atmos. Sci., 75, 297-326.

Results demonstrated that the surface heat flux feedback outside the secondary eye formation (SEF) region plays a particularly crucial role in SEF. In contrast, suppressing the surface heat flux feedback in the storm’s inner-core region has limited effect on the evolution of the outer eyewall.

Fig. 7. Time–radius Hovmöller diagrams of the azimuthal-mean vertical velocity (shaded; m s−1) and 1-km tangential wind (contours; m s−1) of (a) OSC-01, (b) OSC-05, (c) OSC-10, and (d) OSC-15. The black dashed line indicates the SEF time in CTL, and the red dashed line indicates the SEF time in each experiment. The blue arrows indicate the selected regions of suppressed heat fluxes.

Chang#, C.-C., and C.-C. Wu*, 2017: On the processes leading to the rapid intensification of Typhoon Megi (2010). J. Atmos. Sci., 74, 1169-1200.

A schematic diagram is presented to describe a plausible looping path leading to Typhoon Megi’s (2005) RI based on full-physics model simulations. Temporarily strong convective heating enhances secondary circulation that acts to strengthen the mid-upper-level primary circulation by transporting larger potential vorticity toward the upper layers. The increased inertial stability at mid-upper levels (corresponding to the strengthened primary circulation) enhances the heating efficiency and prevents the warm-core structure from being disrupted by the ventilation effect. Development of the warm core at higher altitudes effectively lowers the surface pressure. It is suggested that the gradually-increased vortex-scale surface enthalpy flux and barotropic-instability-induced mass exchange between the eye and eyewall, which transport the entropy-rich air to the eyewall, may lead to development of a vigorous inner-core convection.

Fig. 4. Flight-level winds (kt, red line) and surface winds (kt, black line) for radial distance through (a) simulated Megi at 1200 UTC 17 Oct, (b) simulated Megi at 2200 UTC 17 Oct, and (c) Typhoon Megi observation from the ITOP (Impact of Typhoons on the Ocean in the Pacific) field program [0630 UTC, pass l; from D’Asaro et al. (2014)]. In (c) solid blue dots represent the lowest 150-m dropsonde winds and the green line indicates the surface rain rate (mm h−1). The x coordinates for (a) and (b) indicate distance (km) from the simulated TC center. The azimuthal angles of the radial profiles relative to the storm centers for (a) and (b) are similar to (c).

A new study on the role of the diabatic process in affecting eyewall evolution has been carried out in Wu et al. 2009a (MWR), which highlights how the moist processes enhance the potential vorticity structure and support eyewall evolution. This study points out the deficiency of the dry barotropic model in describing detailed eyewall dynamical processes, and provides new insights into the eyewall physics. Idealized numerical experiments have been conducted (Wei and Wu 2012) to highlight the role of moist heating in affecting the eyewall dynamics. It is shown that when the diabatic heating and 3-D flows are taken into account, the resultant vortex evolution paths are very different from those in the 2-D barotropic model. The role of convective heating on the maintenance of barotropically unstable eyewall PV ring was investigated in Wu et al. (2016 JAS), indicating the role of diabatic heating in the PV generation in the eyewall region.

In Wu et al. (2012a MWR) and Huang et al. (2012 JAS), a new paradigm of the dynamics controlling the secondary eyewall formation (SEF) in TCs was presented. A deeper understanding of the underlying dynamics of SEF had been obtained based on recently developed insights on the axisymmetric dynamics of tropical cyclone intensification. This is an attractive paradigm on the physical grounds because of its simplicity and consistency with the 3-D numerical simulations presented. Application of the two spin-up mechanisms set the scene for a progressive boundary layer control pathway to SEF. The unbalanced boundary layer response to an expanding swirling wind field is an important mechanism for concentrating and sustaining deep convection in a narrow supergradient-wind zone in the outer-core region of a mature TC. The findings point to a sequence of structural changes in the outer-core region of a mature TC, which culminates in the formation of a secondary eyewall.

A series of follow-up works had been proposed to provide complete dynamical analyses of SEF. We believe this series of studies could further bring considerable dynamical insights into SEF, and thus would reveal the critical physical processes that need to be adequately represented in a numerical model, which could in turn facilitate further understanding of TC dynamics and improvement in typhoon forecasting. Based on this series of research, a new and generalized theoretical framework/model for SEF is slated to be constructed, interpreting the axisymmetric/asymmetric and balanced/unbalanced vortex dynamics involved. This work is expected to improve the forecast of SEF (the timing and preferred radial intervals) and the evolution of a concentric eyewall cycle (including the associated structure and intensity changes, and the cycle’s duration), as well as the general forecast of a typhoon. In all, the works of Wu et al. (2012a MWR) and Huang et al. (2012 JAS) had received high attention from the TC community, and a number of research groups (e.g., UCLA、SUNY Albany、Univ. of Washington、Univ. of Miami、Pennsylvania State Univ.、Naval Postgraduate school、Melbourne Univ.、Nanjing Univ.) have been following this new paradigm for interpretation of the SEF dynamics. An invited review of this issue has also been published in the Encyclopedia of Atmospheric Science (Wu and Huang 2015).

The secondary eyewall formation (SEF) in an idealized simulation of a tropical cyclone (TC) is examined from the perspective of both the balanced and unbalanced dynamics and through the tangential wind (Vt) budget analysis (Wang et al. 2016, JAS). It is found that the expansion of the azimuthal-mean Vt above the boundary layer occurs prior to the development of radial moisture convergence in the boundary layer. The Vt expansion results primarily from the inward angular momentum transport by the mid- to lower-tropospheric inflow induced by both convective and stratiform heating in the spiral rainbands.

A full-physics three-dimensional modeling framework is used to compare the results with twodimensional modeling approaches and to point to limitations of the barotropic instability theory in predicting the storm vorticity structure configuration. A potential vorticity budget analysis reveals that diabatic heating is a leading-order term and that it is largely offset by potential vorticity advection. Sawyer–Eliassen integrations are used to diagnose the secondary circulation (and corresponding vorticity tendency) forced by prescribed heating. These integrations suggest that diabatic heating forces a secondary circulation (and associated vorticity tendency) that helps maintain the original ring structure in a feedback process. Sensitivity experiments of the Sawyer–Eliassen model reveal that the magnitude of the vorticity tendency is proportional to that of the prescribed heating, indicating that diabatic heating plays a critical role in adjusting and maintaining the eyewall ring. (Wu et al. 2016, JAS)

One of the most difficult problems which remain unsolved to date in typhoon research is identifying the physical mechanisms that determine changes in typhoon intensity. We conducted an observational analysis (Wu and Cheng 1999, MWR) to show the roles of eddy momentum flux and vertical shear in affecting the intensity change of two different types of typhoons. Both idealized and real-case numerical simulations were set up to address this critical issue, with a review paper published in MAP (Wang and Wu 2004), while an observational study has also been conducted to assess the influence of the environmental factors on typhoon intensity (Zeng et al. 2006, MWR).

Wang^, H., C.-C. Wu*, and Y. Wang, 2016: Secondary eyewall formation in an idealized tropical cyclone simulation - balanced and unbalanced dynamics. J. Atmos. Sci., 73, 3911-3930.

Wu*, C.-C., S.-N. Wu, H.-H. Wei, S. F. Abarca, 2016: The role of convective heating in tropical cyclone eyewall ring evolution. J. Atmos. Sci., 73, 319-330.

Montgomery, T. M., S. F. Abarca, R. K. Smith, C.-C. Wu, and Y.-H. Huang, 2014: Comments on "How Does the Boundary Layer Contribute to Eyewall Replacement Cycles in Axisymmetric Tropical Cyclones?" by J. D. Kepert. J. Atmos. Sci., 71, 4682–4691.

Huang#, Y.-H., M. T. Montgomery, and C.-C. Wu*, 2012: Concentric eyewall formation in Typhoon Sinlaku (2008) – Part II: Axisymmetric dynamical processes. J. Atmos. Sci., 69, 662-674.

Chou#, K.-H., C.-C.Wu, and Y. Wang, 2011: Eyewall evolution of typhoons crossing the Philippines and Taiwan: An observational study. Terr. Atmos. Ocean. Sci., 22, 535-548.

Chen#, J.-H., M. S. Peng, C. A. Reynolds, and C.-C. Wu, 2009: Interpretation of tropical cyclone forecast sensitivity and dynamics from the NOGAPS singular vector perspective. J. Atmos. Sci., 66, 3383-3400.

Wu*, C.-C., H.-J. Cheng, Y. Wang, and K.-H. Chou, 2009: A numerical investigation of the eyewall evolution in a landfalling typhoon. Mon. Wea. Rev., 137, 21-40.

Jian, G.-J., and C.-C. Wu, 2008: A numerical study of the track deflection of Supertyphoon Haitang (2005) prior to its landfall in Taiwan. Mon. Wea. Rev., 136, 598-615.

Zeng, Z., Y. Wang, and C.-C. Wu, 2007: Environmental dynamical control of tropical cyclone intensity – An observational study. Mon. Wea. Rev., 135, 38-59.

Wang, Y., and C.-C. Wu, 2004: Current understanding of tropical cyclone structure and intensity changes - A review. Meteor. and Atmos. Phys., 87, 257-278.

Wu*, C.-C., K.-H. Chou, H.-J. Cheng, and Y. Wang, 2003: "Eyewall contraction, breakdown and reformation in a landfalling typhoon", Geophys. Res. Lett., 30(17), 1887.

Wu*, C.-C., M. Bender, and Y. Kurihara, 2000: Typhoon forecasts with the GFDL hurricane model: Forecast skill and comparison of predictions using AVN and NOGAPS global analyses. J. Meteorol. Soc. JPN., 78, 777-788.

Wu*, C.-C., and H.-J. Cheng, 1999: An observational study of environmental influences on the intensity changes of Typhoons Flo (1990) and Gene (1990). Mon. Wea. Rev., 127, 3003-3031.

Wu*, C.-C., and Y.-H. Kuo, 1999: Typhoons affecting Taiwan: Current understanding and future challenges. Bulletin of Amer. Meteor. Soc., 80, 67-80.

Wu*, C.-C., and Y. Kurihara, 1996: A numerical study of the feedback mechanisms of hurricane-environment interaction on hurricane movement from the potential vorticity perspective. J. Atmos. Sci., 53, 2264-2282,

Wu*, C.-C., and K. A. Emanuel, 1994: On hurricane outflow structure. J. Atmos. Sci., 51, 1995-2003.

Typhoon - Terrain Interaction

Wu*, C.-C., and S.-R. Liao, 2026: On typhoon-terrain interaction: The looping motion of Typhoon Gaemi (2024) before its landfall in Taiwan. Bull. Amer. Meteor. Soc., 107, E419-E430.

At midnight of July 25, 2024, Typhoon Gaemi made landfall in Taiwan and became the first tropical cyclone (TC) at the severe typhoon intensity level to hit the island directly since Typhoon Nepartak in 2016. What is so special about Gaemi is its unusual looping motion occurring near the coast of Taiwan just a few hours before its final landfall. Such a deflection of track significantly prolonged the length of time in which Gaemi impacted Taiwan, leading to unexpected and devastating damages. Particularly, the central and southern parts of Taiwan suffered badly from sustained heavy rainfalls which subsequently led to serious floods and landslides. Here, we demonstrate that this rare looping phenomenon can be explained by the channeling effect as the TC approaches the mountainous terrains of Taiwan, which creates a low-to-mid-level northerly jet at the western side of the TC that induces it to move southwards. In the later stage of the looping track, the development of a southwesterly corner flow contributes to Gaemi’s subsequent northeastward turning.

Fig. 8. (a) The schematic diagram illustrates the mechanisms during the southward-turning stage of the TC looping motion. The blue arrow indicates the inner-core circulation of Gaemi, and the red arrow rep￾resents the terrain-induced northerly channel flow. The shading east of Taiwan (the color bar at upper right) denotes the 1-km-height wind speed. The white line with arrows indicates the TC track, and the dashed circle denotes the RMW of Gaemi. (b) As in (a), but for the northward-turning stage of the TC looping motion, where red arrows represent the terrain-induced corner flow.

Liao#, S.-R., and C.-C. Wu*, 2025: Torrential remote precipitation of Typhoon Nesat (2022) over the Greater Taipei Area: Dual-polarization radar analysis and ensemble simulations. Mon. Wea. Rev., 153, 2793-2812.

This study investigates the mechanisms responsible for the extreme remote precipitation in the Greater Taipei Area (GTA) during the passage of Typhoon Nesat (2022) through the Bashi Channel. Dual-polarization radar analyses from the Wufenshan radar, combined with ensemble simulations using the Weather Research and Forecasting (WRF) model, reveal that frontogenesis induced by the interaction between northeasterly wind and warm, moist southeasterly flow along the edge of the monsoon trough (MT) played a critical role in triggering the heavy rainfall. The results further demonstrate that momentum and moisture transport associated with the MT contributed substantially to the event, indicating that the rainfall was not solely dependent on the typhoon’s circulation. These findings highlight the importance of the MT-northeasterly wind interaction in driving extreme precipitation events in northern Taiwan.

Fig. 14. The schematic diagram of the critical factors associated with heavy rainfall in the GTA. Shading over Taiwan (the colorbar at lower left) denotes the observed accumulated rainfall. The three-dimensional shaded cross-sections illustrate the distribution of θ¬e (the colorbar at upper right). The blue arrow indicates low-entropy northeasterly wind, and the red arrow represents southeasterly flow of the MT.

Lin#, Y.-H., and C.-C. Wu*, 2021: Remote rainfall of Typhoon Khanun (2017): Monsoon mode and topographic mode. Mon. Wea. Rev., 149, 733-752.

Indirect rainfall related to TCs can be categorized into monsoon and topographic modes. The former results from the interaction between the northeasterly monsoon and TC circulation, and the latter is related to the blocking and uplifting effects of the Taiwan terrain. The time-varying northeasterly and southeasterly moisture fluxes near northeastern Taiwan are adopted as the indicators of two modes, respectively. It was found in this study that the remote rainfall caused by Khanun is attributed to both modes. Aligned with the finding in Chen and Wu (2016), the remote rainfall forecast skill cannot be directly related to TC track errors. The increase in model resolution reduces equitable threat score (ETS) with a smaller threshold value during both modes. With a stricter threshold, ETS varies little during the monsoon mode, while increasing during the topographic mode with the use of a finer resolution. Rainfall in eastern Taiwan is reduced by 25% when the TC is removed during integrations. As expected, in a terrain-removed experiment, the rainfall pattern changes significantly, with its peak value reduced by over 90%. TC-related remote rainfall events, such as those identified in the two discussed modes, do not result from a sole favorable mechanism, although the local orographic forcing plays a particularly crucial role in this case study. TC-related remote rainfall can be attributed to the interaction between northeasterly monsoon and TC outer circulation, and/or the topographic blocking/lifting effects. The extreme rainfall brought by Typhoon Nesat (2022) is such a case in point, devastating several counties and cities over the northern Taiwan (e.g., Taipei city, New Taipei city and Yilan county) by causing flash flooding and mudslides.

Fig. 5. (a) Zones A and B. (b) The average rainfall intensity (bars; mm h−1) and the accumulated rainfall (line; mm) from 0000 UTC 12 Oct to 1500 UTC 15 Oct within zone A. (c) Same as (b), but for zone B. Shading colored in pink represents rainfall associated with monsoon mode.

Lin#, Y.-F., C.-C. Wu*, T.-H. Yen, Y.-H. Huang, and G.-Y. Lien, 2020: Typhoon Fanapi (2010) and its interaction with Taiwan terrain – evaluation of the uncertainty in track, intensity and rainfall simulations. J. Meteor. Soc. Japan, 98, 93-113.

Results show that the presence of Taiwan topography leads to rapid increase of uncertainty in the simulated track and intensity during landfall, in particular during the early period. Fast moving ensemble members show an earlier southward track deflection as well as an earlier weakening, in turn resulting in a sudden increase of standard deviation in TC track and intensity. The analysis indicated that during the offshore departure from Taiwan, the latitudinal location of the long-lasting and elongated rainband located south to the TC is strongly correlated to the latitude of the TC center. The rainfall uncertainty in southern Taiwan is dominated by uncertainty of the simulated TC rainband location, and the latitudinal position of the storm center appears to be a good predictor of the rainband’s location at departure times. Considering the fact that the rainband impinging the high mountains in the southern Central Mountain Range generates the largest accumulated rainfall, the topographic-lifting effect appears to offer an explanation on how the simulated rainband location affects uncertainty of the simulated rainfall.

Fig. 10. The 2-day accumulated rainfall (mm; shaded) of 28 ensemble members in southern Taiwan from 0000 UTC 18 September to 0000 UTC 20 September 2010 in the CTL experiment. Their order is based on the latitude of the storm center (plotted by TC mark) as TC departs from the west coast of Taiwan.

Huang#, K.-C., and C.-C. Wu*, 2018: The impact of idealized terrain on upstream tropical cyclone Track. J. Atmos. Sci., 75, 3887-3910.

Observations have documented typhoons experiencing pronounced track deflection before making landfall in Taiwan. Such an abrupt turn often results in significant TC track forecast errors, adding challenges to overall TC forecasts. This study found different responsible mechanisms for the southward TC motion at different time periods as the storm approaches the topography. They suggested that the topography-induced large-scale environmental flow turn, the low-level channeling effect, and asymmetries in the midlevel flow all contribute to steering the storm southward.

Fig. 1. Simulated vortex track (blue for CTL and red for NT). The black contours show the idealized terrain height used in CTL at 500-m intervals. The vortex center is marked every 3 h. The ordinate and abscissa represent the longitudinal and latitudinal distances from the terrain center, respectively. The times that the vortex starts to deflect to the south (40 h) and makes landfall (57 h) are marked on CTL.

Understanding how the Taiwan terrain affects the track, intensity, wind structure, and precipitation distribution is one of Prof. Wu’s key research thrusts. Both observational and numerical studies have been conducted to address this issue (Wu and Kuo 1999, BAMS; Wu 2001, MWR; Wu et al. 2002, Wea. & Forecating; Jian and Wu 2007, MWR; Galewsky et al. 2006, JGR).

A paper studying the effects of the terrain on the eyewall dynamics and Vortex-Rossby waves of landfalling typhoons (Wu et al. 2003, GRL) was introduced in the “news and views in brief” column of Nature Magazine in September 2003. The role of the adiabatic process in affecting the eyewall evolution was also examined in details in another paper (Wu et al. 2009a, MWR), which highlighted how the moist processes enhance the potential vorticity structure and support the eyewall evolution. This study pointed out the deficiency of the dry barotropic model in describing the detailed eyewall dynamical processes, and provides new insights into the eyewall physics that is consistent with the new theories as described in Montgomery et al. (2008, 2009). The role of terrain in affecting the looping motion of typhoons (channel effect) near the terrain was demonstrated in Jain and Wu (2008, MWR). This study indicated how the terrain-induced channel effect leads to the unusual looping motion of Typhoon Haitang. The looping motion of typhoons was further investigated in Huang et al. (2011, MWR). The numerical simulations of Typhoon Krosa’s looping (2007) and an idealized set of numerical experiments were carried out to study the terrain-induced typhoon track deflections. The study showed consistent results with Jian and Wu (2008, MWR) that the distinct southward track deflection prior to landfall can be attributed to the northerly jet enhanced by the channel effect at the narrow pathway between the high topography of Taiwan and the eyewall with high inertial stability of Krosa. Such findings in Huang et al. (2011) was recognized in the 2011 UCAR magazine. This series of research provided clear insights into the physics of typhoon-terrain interactions, which were also observed in many similar typhoon events near Taiwan.

A further study (Wu et al. 2015, JAS) with idealized model experiments under a wider spectrum of flow regimes was conducted to more thoroughly investigate the dynamics of such processes. All the presented simulated storms experience southward track deflection prior to landfall. Different from the mechanism related to the channeling-effect-induced low-level northerly jet as suggested in previous studies, (Wu et al. 2015 JAS) indicated the leading role of the northerly asymmetric flow in the mid-troposphere in causing the southward deflection of the simulated TC tracks. The mid-tropospheric northerly asymmetric flow forms due to the wind speeds restrained east to the storm center and winds enhanced/maintained west to the storm center. In all, the study highlights a new mechanism that contributes to the terrain-induced southward TC deflection in addition to the traditional channeling effect.

Chen#, T.-C., and C.-C. Wu*, 2016: The remote effect of Typhoon Megi (2010) on the heavy rainfall over northeastern Taiwan. Mon. Wea. Rev., 144, 3109-3131.

Yen#, T.-H., C.-C. Wu*, and G.-Y. Lien, 2011: Rainfall simulations of Typhoon Morakot with controlled translation speed based on EnKF data assimilation. Terr. Atmos. Ocean. Sci., 22, 647-660.

Wu*, C.-C., T.-H. Li, and Y.-H. Huang, 2015: Influence of mesoscale topography on tropical cyclone tracks: further examination of the channeling effect. J. Atmos. Sci., 72, 3032-3050.

Huang#, Y.-H., C.-C. Wu*, and Y. Wang, 2011: The influence of island topography on typhoon track deflection. Mon. Wea. Rev., 139, 1708–1727.

Wu*, C.-C., H.-J. Cheng, Y. Wang, and K.-H. Chou, 2009: A numerical investigation of the eyewall evolution in a landfalling typhoon. Mon. Wea. Rev., 137, 21-40.

Wu*, C.-C., K. K. W. Cheung, and Y.-Y. Lo, 2009: Numerical study of the rainfall event due to interaction of Typhoon Babs (1998) and the northeasterly monsoon. Mon. Wea. Rev., 137, 2049-2064.

Jian, G.-J., and C.-C. Wu, 2008: A numerical study of the track deflection of Supertyphoon Haitang (2005) prior to its landfall in Taiwan. Mon. Wea. Rev., 136, 598-615.

Wu*, C.-C., K.-H. Chou, H.-J. Cheng, and Y. Wang, 2003: "Eyewall contraction, breakdown and reformation in a landfalling typhoon", Geophys. Res. Lett., 30(17), 1887.

Typhoon Rainfall

Liao#, S.-R., and C.-C. Wu*, 2025: Torrential remote precipitation of Typhoon Nesat (2022) over the Greater Taipei Area: Dual-polarization radar analysis and ensemble simulations. Mon. Wea. Rev., 153, 2793-2812.

This study investigates the mechanisms responsible for the extreme remote precipitation in the Greater Taipei Area (GTA) during the passage of Typhoon Nesat (2022) through the Bashi Channel. Dual-polarization radar analyses from the Wufenshan radar, combined with ensemble simulations using the Weather Research and Forecasting (WRF) model, reveal that frontogenesis induced by the interaction between northeasterly wind and warm, moist southeasterly flow along the edge of the monsoon trough (MT) played a critical role in triggering the heavy rainfall. The results further demonstrate that momentum and moisture transport associated with the MT contributed substantially to the event, indicating that the rainfall was not solely dependent on the typhoon’s circulation. These findings highlight the importance of the MT-northeasterly wind interaction in driving extreme precipitation events in northern Taiwan.

Figure 14. The schematic diagram of the critical factors associated with heavy rainfall in the GTA. Shading over Taiwan (the colorbar at lower left) denotes the observed accumulated rainfall. The three-dimensional shaded cross-sections illustrate the distribution of θ¬e (the colorbar at upper right). The blue arrow indicates low-entropy northeasterly wind, and the red arrow represents southeasterly flow of the MT.

Liu, C.-Y., J. P. Punay, C.-C. Wu, C.-H. Chiu, and P. Aryastana, 2022: Characteristics of cloud properties, deep convective clouds, and precipitation of rapidly intensifying tropical cyclones in the western North Pacific. J. Geophys. Res. Atmos., 127, 1-16.

Lin#, Y.-H., and C.-C. Wu*, 2021: Remote rainfall of Typhoon Khanun (2017): Monsoon mode and topographic mode. Mon. Wea. Rev., 149, 733-752.

Indirect rainfall related to TCs can be categorized into monsoon and topographic modes. The former results from the interaction between the northeasterly monsoon and TC circulation, and the latter is related to the blocking and uplifting effects of the Taiwan terrain. The time-varying northeasterly and southeasterly moisture fluxes near northeastern Taiwan are adopted as the indicators of two modes, respectively. It was found in this study that the remote rainfall caused by Khanun is attributed to both modes. Aligned with the finding in Chen and Wu (2016), the remote rainfall forecast skill cannot be directly related to TC track errors. The increase in model resolution reduces equitable threat score (ETS) with a smaller threshold value during both modes. With a stricter threshold, ETS varies little during the monsoon mode, while increasing during the topographic mode with the use of a finer resolution. Rainfall in eastern Taiwan is reduced by 25% when the TC is removed during integrations. As expected, in a terrain-removed experiment, the rainfall pattern changes significantly, with its peak value reduced by over 90%. TC-related remote rainfall events, such as those identified in the two discussed modes, do not result from a sole favorable mechanism, although the local orographic forcing plays a particularly crucial role in this case study. TC-related remote rainfall can be attributed to the interaction between northeasterly monsoon and TC outer circulation, and/or the topographic blocking/lifting effects. The extreme rainfall brought by Typhoon Nesat (2022) is such a case in point, devastating several counties and cities over the northern Taiwan (e.g., Taipei city, New Taipei city and Yilan county) by causing flash flooding and mudslides.

Fig. 5. (a) Zones A and B. (b) The average rainfall intensity (bars; mm h−1) and the accumulated rainfall (line; mm) from 0000 UTC 12 Oct to 1500 UTC 15 Oct within zone A. (c) Same as (b), but for zone B. Shading colored in pink represents rainfall associated with monsoon mode.

Yu, C.-K., L.-W. Cheng, C.-C. Wu, and C.-L. Tsai, 2020: Outer tropical cyclone rainbands associated with Typhoon Matmo (2014). Mon. Wea. Rev., 148, 2935-2952.

Yu, C.-K., C.-Y. Lin, L.-W. Cheng, J.-S. Luo, C.-C. Wu, and Y. Chen, 2018: The degree of prevalence of similarity between outer tropical cyclone rainbands and squall lines. Sci. Rep., 8, 1-15.

Wu, M., C.-C. Wu, T.-H. Yen., and Y. Luo, 2017: Synoptic analysis of extreme hourly precipitation in Taiwan during 2003-12. Mon. Wea. Rev., 145, 5123-5140.

This study investigates the statistical characteristics of extreme hourly precipitation over Taiwan during 2003-2012 that exceeds the 5-, 10-, and 20-yr return values and 100 mm h−1. All the extreme precipitation records are classified into four types according to the synoptic situations under which they occur: TCs, fronts, weak-synoptic forcing, and vortex/shear line types. The TC type accounts for over three-quarters of the total records, while the front type and weak-synoptic forcing type are comparable (9%-13%). Extreme hourly precipitation is largely attributed to mei-yu fronts from May to mid-June and also TCs during July-October. The TC type tends to have a longer duration time (>12 h) with a symmetrical evolution of hourly rainfall intensity, while the front type and weak-synoptic forcing type are usually identified over a short period (<6 h) with a slightly asymmetrical evolution pattern.

The TC type is further divided into seven subtypes according to the location of the TC center relative to the Taiwan coastline. When the TC center is over Taiwan or close to the coastline, the spatial distribution of subtypes I-IV is largely determined by the part of Taiwan topography that the TC approaches. When the TC center is far away from Taiwan, the spatial distribution of subtypes V-VII is determined jointly by the strength of the prevailing environmental flow, either southwesterly or northeasterly, and the areas in which TC circulation impinges upon the Central Mountain Range.

Fig. 7. The temporal evolution of hourly rainfall intensity (%; relative to the extreme rainfall amount) 6 h before and after the time of extreme precipitation: (a) TC type, (b) front type, and (c) weak-synoptic forcing type. The middle of each bar represents the median ratio value, the top (bottom) of each bar indicates the 75% (25%) ratio value, and the top (bottom) line denotes the 90% (10%) ratio value. The median ratio values are connected by gray solid lines in each panel.

Typhoon-induced rainfall has been an important research theme especially in Taiwan, considering the mountainous nature of its typography and the disastrous impact the heavy rainfall can have on people’s lives and property. Wu et al. (2002, WF) conducted a series of numerical experiments to examine the ability of a high-resolution mesoscale model to simulate the track, intensity change, and detailed mesoscale precipitation distributions associated with Typhoon Herb (1996), which made landfall and resulted in serious damage in Taiwan. It was shown that, with an accurate track simulation, the ability of the model to simulate successfully the observed rainfall depends on two key factors: the model’s horizontal grid spacing and its ability to describe the Taiwan terrain.

The existence of the Central Mountain Range has only a minor impact on the storm track, but it plays a key role in substantially increasing the total rainfall amounts over Taiwan. The analysis presented showed that the model and terrain resolutions play a nearly equivalent role in the heavy precipitation over Mount Ali. The presence of maximum vertical motion and heating rate in the lower troposphere, above the upslope mountainous region, is a significant feature of forced lifting associated with the interaction of the typhoon’s circulation and Taiwan’s mountainous terrain. Overall, Typhoon Herb is a case in point to indicate the intimate relation between Taiwan’s topography and the rainfall distribution associated with typhoons at landfall. Wu et al. (2002, WF) was a milestone work on the rainfall simulation issue in Taiwan, and had been cited by SCI-journal publication for 115 times.

Wu et al. (2009 MWR), which examines a heavy rainfall event in the Taiwan area associated with the interaction between Typhoon Babs (1998) and the East Asia winter monsoon is another important study in the area of rainfall associated with TC-monsoon-terrain interaction, orremote rainfall. Typhoon Babs is a case in point demonstrating the often-observed phenomenon that heavy rainfall can be induced in the eastern and/or northeastern region of Taiwan in late typhoon season. Such heavy rainfall was caused by the joint convergent flow associated with the outer circulation of typhoons and the strengthening northeasterly monsoon in late typhoon season, even though Babs remained distant from Taiwan when it moved through the island of Luzon in the Philippines and stayed over the south. It was shown that the terrain played a key role in changing the low-level convergence pattern between typhoon circulation and monsoonal northeasterlies. This is the first paper published in an SCI journal that discusses the rainfall mechanism associated with the TC-winter monsoon-terrain interaction (also called as remote rainfall), which is well illustrated in the schematic diagram of Wu et al. (2009, MWR).

Based on the EnKF data assimilation (Wu et al. 2010, 2011), Yen et al. (2011) showed in a simulation with nearly-doubled translation speed of Typhoon Morakot that the 55% increase of the translation speed (12->19 km/h; 36 % less duration time) leads to a 33% reduction in the maximum accumulated rainfall (1800->1207 mm), while the rainfall distribution over Taiwan remains similar. Furthermore, the 28 ensemble members provide abundant information on their spread and other statistics, which reveal the usefulness of the ensemble simulation for the quantitative precipitation forecast. It was also suggested that the ensemble simulations with coherent high model and terrain resolutions are valuable in assessing the issue of terrain-induced heavy rainfall, one of the most critical forecast issues in Taiwan. The paper was awarded “The Dr. Shiah-Shen Huang Outstanding Paper Award” in 2012 by the Meteorological Society of ROC (Taiwan).

Typhoon Morakot (2009) was one of the deadliest typhoons that have impacted Taiwan in the past 50 years. Since this extreme rainfall event, there had been extensive studies focusing on its record-breaking amount of rainfall from various scientific and forecast perspectives. To communicate and discuss various aspects of this deadly typhoon, a conference named “The International Workshop on Typhoon Morakot (2009),” co-organized by Prof. Wu was held from March 25-26, 2010, in Taipei, Taiwan. The conference specifically aimed to identify gaps in our understanding of TCs, and to discuss advanced forecast guidance tools required to improve warnings of these extreme precipitation and flooding events. The community (headed by Prof. Wu, as the Editor in Chief of TAO Journal) went a step further to propose a special issue to the journal Terrestrial, Atmospheric and Oceanic Sciences (TAO) in order to provide a comprehensive summary of Morakot and other extreme rainfall events associated with landfalling TCs. The special issue, “Typhoon Morakot (2009): Observation, Modeling, and Forecasting Applications,” was published in December 2011 and covered observation analyses of circulations and structures, mesoscale model simulations, data assimilation techniques, and practical forecast verification and guidance. Another paper highlighting the significance of this special issue was published in Wu (2013, BAMS).

High-impact Typhoon Morakot (2009) was investigated using a multiply nested regional tropical cyclone prediction model. In the numerical simulations, the horizontal grid spacing, cumulus parameterizations, and icrophysical parameterizations were varied, and the sensitivity of the track, intensity, and quantitative precipitation forecasts (QPFs) was examined. With regard to horizontal grid spacing, it is found that convective-permitting (5 km) resolution is necessary for a reasonably accurate QPF, while little benefit is gained through the use of a fourth domain at 1.67-km horizontal resolution. Significant sensitivity of the track forecast was found to the cumulus parameterization, which impacted the model QPFs. (Hendricks et al. 2016, Wea. Forecasting)

Megi is a case featuring high forecast uncertainty associated with its sudden recurvature, along with remote heavy rainfall over northeastern Taiwan (especially at Yilan) and its adjacent seas during 19–23 October 2010. An ensemble simulation is conducted, and characteristic ensemble members are separated into subgroups based on either track accuracy or rainfall forecast skill. Comparisons between different subgroups are made to investigate favorable processes for precipitation and how the differences between these subgroups affect the rainfall simulation. Several mechanisms leading to this remote rainfall event are shown. The northward transport of water vapor by Megi’s outer circulation provides a moisture-laden environment over the coastal area of eastern Taiwan. Meanwhile, the outer circulation of Megi (with high ue) encounters the northeasterly monsoon (with low ue), and strong vertical motion is triggered through isentropic lifting in association with low-level frontogenesis over the ocean northeast of Yilan. Most importantly, the northeasterly flow advects the moisture inland to the steep mountains in south-southwestern Yilan, where strong orographic lifting further induces torrential rainfall. (Chen et al. 2016, MWR)

Chen#, T.-C., and C.-C. Wu*, 2016: The remote effect of Typhoon Megi (2010) on the heavy rainfall over northeastern Taiwan. Mon. Wea. Rev., 144, 3109-3131.

Wu*, C.-C., T.-H. Yen, Y.-H. Huang, C.-K. Yu, and S.-G. Chen, 2016: Statistical characteristic of heavy rainfall associated with typhoons near Taiwan based on high-density automatic rain gauge data. Bull. Amer. Meteor. Soc., 97, 1363-1375.

Hendricks, E., Y. Jin, J. Moskaitis, J. Doyle, M. Peng, C.-C. Wu, and H.-C. Kuo, 2016: Numerical simulations of Typhoon Morakot (2009) using a multiply-nested tropical cyclone prediction model. Wea. Forecasting, 31, 627-645.

Wu*, C.-C., S.-G. Chen,, S.-C. Lin, T.-H. Yen, and T.-C. Chen, 2013: Uncertainty and predictability of tropical cyclone rainfall based on ensemble simulations of Typhoon Sinlaku (2008). Mon. Wea. Rev., 141, 3517-3538.

Wu*, C.-C., 2013: Typhoon Morakot (2009): Key findings from the Journal TAO for improving prediction of extreme rains at landfall. Bull. Amer. Meteor. Soc., 94, 155-160.

Tao, W.-K., J. J. Shi, P.-L. Lin, J. Chen, S. Lang, M.-Y. Chang, M.-J. Yang, C.-C. Wu, Christa P.L., C.-H. Sui, and Ben J.-D. Jou, 2011: High-resolution numerical simulation of the extreme rainfall associated with Typhoon Morakot. Part I: Comparing the impact of microphysics and PBL parameterizations with observations. Terr. Atmos. Ocean. Sci., 22, 673-696.

Yen#, T.-H., C.-C. Wu*, and G.-Y. Lien, 2011: Rainfall simulations of Typhoon Morakot with controlled translation speed based on EnKF data assimilation. Terr. Atmos. Ocean. Sci., 22, 647-660.

Lee, C.-S., C.-C. Wu, T.-C. Chen Wang, and R. L. Elsberry*, 2011: Advances in understanding the “Perfect monsoon-influenced typhoon”: summary from international conference on Typhoon Morakot (2009). Asia-Pac J Atmos Sci., 47(3), 213-222.

Wu*, C.-C., K. K.-W. Cheung, J.-H. Chen, and C. C. Chang, 2010: The impact of Tropical Storm Paul (1999) on the motion and rainfall associated with Tropical Storm Rachel (1999) near Taiwan. Mon. Wea. Rev., 138, 1635-1650.

Wu*, C.-C., K. K. W. Cheung, and Y.-Y. Lo, 2009: Numerical study of the rainfall event due to interaction of Typhoon Babs (1998) and the northeasterly monsoon. Mon. Wea. Rev., 137, 2049-2064.

Galewsky, J., C. P. Stark, S. Dadson, C.-C. Wu, A. H. Sobel, and M.-J. Hong, 2006: Tropical cyclone triggering of sediment discharge in Taiwan. J. Geophys. Res., 111, F03014.

Wu*, C.-C., T.-H. Yen, Y.-H. Kuo, and W. Wang, 2002: Rainfall simulation associated with Typhoon Herb (1996) near Taiwan. Part I: The topographic effect. Wea. Forecasting, 17, 1001-1015.

Wu*, C.-C., T.-H. Yen, Y.-H. Kuo, and W. Wang, 2002: A numerical study of the rainfall associated with Typhoon Herb (1996) using PSU/NCAR MM5. 4th East Asian and Western Pacific Meteorology and Climate. Word Scientific Series on Meteorology of East Asia, Vol.1. Eds: C.-P. Chang, G. Wu, B. Jou, and C. Y. Lam. 252-260.

Typhoon-Ocean Interactions

Pun, I.-F., I-I Lin, and C.-C. Wu, 2025: Suppression of marine heatwave activity by tropical cyclone-induced upper ocean cooling. Science Advances, 11, eadw8070 (2025), 12 pp.

Chang#, K.-F., C.-C. Wu*, and K. Ito, 2023: On the rapid weakening of Typhoon Trami (2018): Strong sea surface temperature cooling associated with slow translation speed. Mon. Wea. Rev., 151, 227-251.

This work investigates the rapid weakening (RW) processes of Typhoon Trami (2018) by examining sea surface temperature (SST) cooling based on air-sea coupled simulations during typhoon passage. The cold wake and Trami’s RW occurred as the storm was moving at a very slow translation speed. A marked structural change of Trami is found during the RW stage - suppression of convective clouds and convective bursts in the inner core of the simulated TC. This is due to the significant decrease in enthalpy fluxes and the establishment of a stable boundary layer (SBL) in Trami’s inner core under the influence of the TC-induced SST cooling. A more stable atmosphere in the cold wake is also identified by the inner-core dropsonde data from the field program of Tropical cyclones-Pacific Asian Research Campaign for Improvement of Intensity (T-PARCII) estimations/forecasts. The strong SST cooling also affects the evolution of Trami’s eyewall replacement cycle (ERC) and limits the eyewall contraction after the ERC.

Fig. 6. Plan views of (a)–(c) SST at 1200 UTC 28 Sep and (d)–(f) SST difference (color shaded; °C) between 1200 UTC 22 and 1200 UTC 28 Sep 2018 for (left) OI SST, (center) C1D, and (right) C3D. Red- and orange-outlined circles represent the first and second deceleration periods.

Chih^, C.-H., and C.-C. Wu*, 2020: Exploratory analysis of upper ocean heat content and sea surface temperature underlying tropical cyclone rapid intensification in the western north Pacific. J. Climate, 33, 1031-1050.

The statistical analysis based on the International Best Track Archive for Climate Stewardship (IBTrACS) between 1998 and 2016 shows higher UOHC and SST during the RI periods than in non-RI durations. However, TCs that pass through areas with higher UOHC/SST do not necessarily experience RI. In the storm’s inner-core region, lower UOHC/SST is identified and attributed to the storm-induced ocean cooling. TC intensification rates during the RI period appear insensitive to SST, but UOHC during RI exhibits statistically significant differences from that of the non-RI periods. In addition, there is a statistically significant increasing trend of UOHC underlying TCs during the analyzed period. It is also noted that there are different polynomial and linear trends in the percentage of TCs with RI, based on different calculations of the RI events and RI durations. Finally, it is shown that there is no statistically significant difference in UOHC, SST, and the percentage of RI among the five categories of ENSO events (i.e., strong El Niño, weak El Niño, neutral, weak La Niña, and strong La Niña).

Fig. 2. Distribution of TCs probability density functions (PDFs) of TCs are calculated using 1998–2016 TCs in Western North Pacific UOHC and SST. The red solid (blue solid), red long dashed (blue long dashed), and red dashed (blue dashed) lines show the PDFs of UOHC (SST) for all TCs, RI, and non-RI duration, respectively.

Pun, I.-F., I-I Lin, C.-C. Lien, and C.-C. Wu, 2018: Influence of the size of supertyphoon Megi (2010) on SST cooling. Mon. Wea. Rev., 146, 661-677.

Modeling analysis showed that if it were not for Megi’s size increase over the South China Sea (SCS), the during-Megi sea surface temperature (SST) cooling magnitude would have been 52% less (reduced from 4° to 1.9°C), the right bias in cooling would have been 60% (or 30 km) less, and the width of the cooling would have been 61% (or 52 km) less. This result suggests that typhoon size is as important as other well-known factors of SST cooling. The authors also conducted a straight-track experiment and found that the curvature of Megi contributes up to 30% (or 1.2°C) of cooling over the SCS.

Fig. 1. (a) Daily composites of satellite microwave SST after Megi’s passage on 18 Oct and 22 Oct 2010. The vertical dashed line separates the two composites, which are made from the observations from the Tropical Rainfall Measuring Mission (TRMM) Microwave Imager (TMI) and the Advanced Microwave Scanning Radiometer for Earth Observing System (AMSR-E) provided by Remote Sensing Systems (RSS). Note that there are a number of missing data (in gray) due to heavy rains of Megi. Megi’s best track from IBTrACS is superimposed, color coded by the Saffir–Simpson hurricane wind scale. Triangles depict the ocean temperature profiles retrieved from the Global Temperature and Salinity Profile Programme (GTSPP) database, while the solid triangles depict the selected profiles used for the simulations. The geographic locations and simulation domains (dashed boxes) for the Philippine Sea and the South China Sea are also shown. (b) The corresponding SST decrease map showing pre-Megi conditions on 15 Oct 2010.

This part of work was conducted partly in collaboration with Prof. I-I Lin. The cooling of the ocean due to the passage of typhoons has been documented from satellite-retrieved SST data, while response to the wind change has also been demonstrated (Lin et al. 2003a, GRL). Meanwhile, a striking interdisciplinary issue on the dramatic bio-response and ocean primary production due to typhoons has also been raised (Lin et al. 2003b, GRL). The above two papers were introduced in the “news and views in brief” column of Nature Magazine in the 2003 March and August issues, respectively. We also combined the Sea Surface Height Anomaly data with a simple coupled model (CHIPS) to investigate the role of warm ocean eddies in the intensity change of Typhoon Maemi (2003) (Lin. et al. 2005, MWR). It was shown that the warm eddy plays a critical role as an efficient insulator that prevents the storm-induced SST cooling, thus enabling Maemi to maintain its intensity as a super typhoon. This research project had received notable attention in the typhoon research community. The intensification of Hurricane Katrina (2005) is a case in point to highlight the role of warm ocean eddies and the warm Loop Current as depicted in our paper.

Inspired by the observations, Wu et al. (2007, JAS) used a simple yet comprehensive, typhoon-ocean coupled model to study the influence of the ocean mixed-layer structure and the warm ocean eddy on such feedback problems, and to study the influence of the typhoon-induced SST cooling on typhoon intensity. Numerical experiments with different oceanic thermal structures were designed to elucidate the responses of tropical cyclones to the ocean eddy and the effects of tropical cyclones on the ocean. This simple model showed that rapid intensification occurs as a storm encounters the ocean eddy due to enhanced heat flux. While strong winds usually cause strong mixing in the mixed layer and thus cool down the sea surface, negative feedback to the storm intensity of this kind is limited by the presence of a warm ocean eddy which provides insulating effect against the storm-induced mixing and cooling. Two new eddy factors were defined to evaluate the effect of the eddy on tropical cyclone intensity. The efficiency of the eddy feedback effect depends on both the oceanic structure and other environment parameters, including properties of the tropical cyclone. Analysis of the functionality of the eddy factor showed that the mixed-layer depth either associated with the large-scale ocean or with the eddy is the most important factor in determining the magnitude of eddy feedback effect. Next to them are the storm’s translation speed and the ambient relative humidity. This work provided useful new insight into the understanding of typhoon-ocean interaction and the role of the warm eddy.

Further work had been carried out to understand the role of warm and deep ocean gyre and warm eddies as “Super-typhoon Boosters” in the NW Pacific (Lin et al. 2008a, b, MWR; 2009, GRL; 2011, TAO).

Based on detailed in situ air-deployed ocean and atmospheric measurement pairs collected during the Impact of Typhoons on the Ocean in the Pacific (ITOP) field campaign (D’Asaro et al. 2014), Lin et al. (2013, GRL) modified the widely used Sea Surface Temperature Potential Intensity (SST_PI) index by including information from the subsurface ocean temperature profile to form a new Ocean coupling Potential Intensity (OC_PI) index.

In the most recent work (Wu et al. 2016 JGR), a mesoscale model coupling the Weather Research and Forecasting model and the three-dimensional Price-Weller-Pinkel ocean model was used to investigate the dynamical ocean response to Megi (2010). It was found that Megi induces sea surface temperature (SST) cooling very differently in the Philippine Sea (PS) and the South China Sea (SCS). The results are compared to the in situ measurements from ITOP, satellite observations, as well as ocean analysis field from Eastern Asian Seas Ocean Nowcast/Forecast System of the U.S. Naval Research Laboratory. The uncoupled and coupled experiments simulate relatively accurately the track and intensity of Megi over PS; however, the simulated intensity of Megi over SCS varies significantly among the experiments. Only the experiment coupled with three-dimensional ocean processes, which generates rational SST cooling, reasonably simulates the storm intensity in SCS. The results suggest that storm translation speed and upper ocean thermal structure are two main factors responsible for Megi’s distinct different impact over PS and over SCS. In addition, it was shown that coupling with one-dimensional ocean process (i.e. only vertical mixing process) is not enough to provide sufficient ocean response, especially under slow translation speed (~2-3 m s-1), during which vertical advection (or upwelling) is significant. Therefore, coupling with three-dimensional ocean processes is necessary and crucial for TC forecasting. Finally, the simulation results showed that the stable boundary layer forms on top of the Megi-induced cold SST area and increases the inflow angle of the surface wind.

Ko, D. -S., S.-Y. Chao, C.-C. Wu, I-I Lin, and S. Jan, 2016: Impacts of tides and Typhoon Fanapi (2010) on seas around Taiwan. Terr. Atmos. Ocean. Sci., 27, 261-280.

Wu*, C.-C., W.-T. Tu, J.-F. Pun, I-I Lin, and M. S. Peng, 2016: Tropical cyclone-ocean interaction in Typhoon Megi (2010) - A synergy study based on ITOP observations and atmosphere-ocean coupled model simulations. J. Geophys. Res. Atmos., 121, 153-167.

Ko D.-S., S.-Y. Chao, C.-C. Wu, and I.-I. Lin, 2014: Impacts of Typhoon Megi (2010) on the South China Sea. J. Geophys. Res. Atmos., 1-16.

D’Asaro, E. A., P. G. Black, L. R. Centurioni, Y.-T. Chang, S. S. Chen, R. C. Foster, H. C. Graber, P. Harr, V. Hormann, R.-C. Lien, I.-I. Lin, T. B. Sanford, T.-Y. Tang, and C.-C. Wu, 2014: Impact of typhoons on the ocean in the Pacific. Bull. Amer. Meteor. Soc., 1405-1418.

Lin, I.-I., P. Black, J. F. Price, C.-Y. Yang, S. S. Chen, C.-C. Lien, P. Harr, N.-H. Chi, C.-C. Wu, and E. A. D’Asaro, 2013: An ocean coupling potential intensity index for tropical cyclones. Geophys. Res. Lett., 40, 1878-1882.

Zhan, R., Y. Wang, and C.-C.Wu, 2011: Impact of SSTA in East Indian Ocean on the frequency of Northwest Pacific tropical cyclones: A regional atmospheric model study. J. Climate, 24, 6227-6242.

Lin, I-I, M.-D. Chou, and C.-C. Wu, 2011: The impact of a warm ocean eddy on Typhoon Morakot (2009) – A preliminary study from satellite observations and numerical modeling. Terr. Atmos. Ocean. Sci., 22, 661-671.

Lin, I-I, C.-H. Chen, I.-F. Pun, W. T. Liu., and C.-C. Wu, 2009: Warm ocean anomaly, air sea fluxes, and the rapid intensification of tropical cyclone Nargis. Geophys. Res. Lett., 36, L03817.

Lin, I-I, I.-F. Pun, and C.-C. Wu, 2009: Upper ocean thermal structure and the western North Pacific category-5 typhoons. Part II: Dependence on translation speed. Mon. Wea. Rev., 137, 3744-3757.

Lin, I-I, C.-C. Wu, F. Pam, and D.-S. Ko, 2008: Upper ocean thermal structure and the western North Pacific category-5 typhoons. Part I: Ocean features and category-5 typhoon’s intensification. Mon. Wea. Rev., 136, 3288-3306.

Wu*, C.-C., C.-Y Lee, and I-I Lin, 2007: The effect of the ocean eddy on tropical cyclone intensity. J. Atmos. Sci., 64, 3562-3578.

Lin, I-I, C.-C. Wu*, K. A. Emanuel, I-H. Lee, C. Wu, and F. Pan, 2005: The interaction of Supertyphoon Maemi (2003) with a warm ocean eddy. Mon. Wea. Rev., 133, 2635–2649.

Lin, I.-I., W. T. Liu, C.-C. Wu, G. Wong, C. Hu, Z. Chen, W.-D. Liang, Y. Yang, and K.-K. Liu, 2003: New evidence for enhanced ocean primary production triggered by tropical cyclone. Geophys. Res. Lett., 30(13), 1718.

Lin, I.-I., W. T. Liu, C.-C. Wu, J. C. H. Chiang, and C.-H. Sui, 2003: Satellite observations of modulation of surface winds by typhoon-induced ocean cooling. Geophys. Res. Lett., 30(3).

Typhoon and Climate Change

Huang^, Y.-H., Y.-C. Li., C.-C. Wu*, H.-H. Hsu, and H.-C. Liang, 2025 : Future Tropical Cyclones in the Western North Pacific under Global Warming Trend: Track Cluster Analysis. J. Climate, 38, 2413–2434.

In this study, we analyze projected changes in tropical cyclone activity in the western North Pacific (WNP) under four distinct sea surface temperature (SST) warming patterns. By the latter part of the 21st century, under the RCP8.5 warming scenario, WNP TCs are projected to undergo the following changes across all the six categorized clusters and four projections: a reduction of TCs, the distribution of TC lifetime maximum intensity (LMI) extending toward higher intensities, and enhanced mean intensification rates.

Inter-cluster and inter-ensemble variations exist in projected changes of other TC parameters. For instance, the results underscore the critical need for proactive measures to strengthen resilience and adaptation strategies, particularly for TCs in clusters C1 and C5. While stronger LMI extremes are projected across all clusters, the mean LMI for C1 TCs is also consistently enhanced, posing growing threats to WNP coastal regions. A northward migration of the mean LMI location, previously identified in some studies, is evident in only one cluster. Notably, cluster C5 exhibits a significant and robust northward shift of its primary LMI zone, accompanied by an increased density of C5 TC occurrence near Japan and the Korean Peninsula.

The environmental favorability for TC development, as estimated by the seasonal-mean ventilation index (VI), does not correspond to the enhanced mean TC intensification rates and fails to coherently explain the robust reduction in TC counts. Future research could investigate changes in environmental conditions that influence TC seed frequency and explore whether warming scenarios alter TC vortex structures, thereby impacting TC intensification processes.

Fig. 11. Projected changes in intra-cluster kernel density of three different TC metrics for the ensemble mean across the four projections. For TC genesis and LMI locations, changes are displayed where the corresponding kernel density value, either in the present-day simulation or in the ensemble mean of the future projections, is greater than 0.001. Colored contours denote the primary zones for TC occurrence (navy), genesis (green), and LMI (magenta), in the present-day simulation (dashes) and the ensemble mean of the four projections (solid). Areas with limited robustness are marked with green crosses.

Chih^, C.-H., C.-C. Wu*, Y.-H. Huang, Y.-C. Li, L.-Z. Shen, H.-H. Hsu, and H.-C. Liang, 2024: Intense tropical cyclones in the Western North Pacific under global warming: A dynamical downscaling approach. J. Geophys. Res. Atmos., 129, 1-22.

Using the High-Resolution Atmospheric Model (HiRAM) dataset and the WRF dynamical downscaling approach, the impact of global warming on very intense TCs in the western North Pacific is assessed. The findings project an increase in intensity, especially for the most intense TCs (Top 5%), with a higher intensification rate, potentially posing greater threats to coastal areas under the future climate (2071-2100) scenario (RCP8.5).

Fig. 2. The HiRAM25 and HiRAM25d5 mean intensity tendency (solid lines) of each CURRENT (C) and FUTURE (F) scenarios and the top-5%-LMI TCs with top 5% lifetime maximum intensity (LMI; dotted lines). Time zero represents the LMI time. Shaded areas indicate the standard deviation.

Chih^, C.-H., K.-H. Chou, and C.-C. Wu*, 2022: Idealized simulations of tropical cyclones with thermodynamic conditions under reanalysis and CMIP5 scenarios. Geoscience Letters, 9, 1-20.

Using environmental conditions from the reanalysis and Coupled Model Intercomparison Project Phase 5 (CMIP5) model projections, and a regional dynamical model, idealized numerical simulations are conducted in this study to assess how TC size and intensity respond to a warmer future over the Western North Pacific. The results suggest an increase in TC size and intensity in the late twentieth century under the representative concentration pathway 8.5 (RCP8.5). Such a change is tentatively explained by the increased air-sea thermal disequilibrium and acutely increasing temperature in the TC outflow.

Fig. 2. (a) The spatially and temporally averaged vertical profiles of Tatm (solid lines) in the upper troposphere and rv(dashed lines) for the following reanalysis data: NCEP/NCAR R-1 (green), ERA20C (blue), and CIRES20 (red) and the vertical profile of Jordan (1958) sounding (purple). P is pre-stage from 1921 to 1950, M is mid-stage from 1951 to 1981, and L is later-stage from 1981 to 2010. (b) The changes of Tatm and c rv were calculated as differences between pre-stage and other stages of reanalysis experiments, but differences between mid-stage and later-stage were calculated for NCEP/NCAR R-1.

In recent 5 years, Prof. Wu also broadened his research field to the study of TC-climate problems, one emerging important issue in our research community. A post-doctoral research fellow (Dr. Zhan) from Shanghai Typhoon Research Institute visited Prof. Wu at NTU in 2010, and since then they worked together on this research topic. Zhan et al. (2011 J. Climate) showed that the EIO SSTA affects TC genesis frequency in the entire genesis region over the western North Pacific (WNP) by significantly modulating both the western Pacific summer monsoon and the equatorial Kelvin wave activity over the western Pacific, two major large-scale dynamical controls of TC genesis over the WNP. Additional sensitivity experiments were performed for two extreme years: one (1994) with the highest and another (1998) with the lowest TC annual frequencies in the studied period.

The effect of ENSO on landfalling TCs over the Korean Peninsula was examined by another post-doctoral fellow researcher from Korea (Choi et al. 2011 Asia-Pac J. Atmos. Sci.). It was found that although difference in landfalling frequency is not statistically significant between different ENSO phases, the landfalling tracks are shifted northward in response to the decrease in Niño-3.4 index. In the neutral ENSO phase, many TCs pass through (mainland) China before making landfall on the Korean Peninsula due to the westward expansion of the western North Pacific subtropical high.

As another visiting scientist to Prof. Wu’s group, Kim et al. (2011 TAO) investigated the contribution of TC rainfall (PTC) to the inter-decadal change in summer (June, July and August) rainfall (PTotal) over southern China between 1981 - 1992 (ID1) and 1993 - 2002 (ID2). In an area-averaged sense, the inter-decadal change in PTotal was largely attributed to non-TC rainfall for the summer total and the months of June and July, while PTC became comparable in August. When the month-to-month spatial variability was considered, noticeable nega¬tive PTC contributions appeared over the southeastern coast of China, Hainan Island, and Taiwan in June and over the southern coastal regions in July, where less TC activity was observed. In June, the condition was attributed to reduced basin-wide TC activity due to unfavorable large-scale environments in ID2, whereas in July, an enhanced cyclonic circulation centered at Taiwan in ID2 limited the number of TCs from the Philippine Sea.

Choi et al. (2013 Theor. Appl Climatol.) used teleconnection patterns to make seasonal predictions for tropical cyclone frequency around Taiwan, and further stated that the frequency of summer TCs in the areas of Japan, Korea, and Taiwan (JKT) has a positive correlation with the Arctic Oscillation (AO) in the preceding spring, while summer TC frequency in the Philippines (PH), located in the low latitudes, has a negative correlation with the AO of the preceding spring (Choi et al., 2012 Climate Dynamics). During a positive AO phase, when the anomalous anticyclone forms over the mid-latitudes of East Asia, other anomalous cyclones develop not only in the high latitudes but also in the low latitudes from the preceding spring to the summer months. With such a difference, while the southeasterly in the JKT area derived from the mid-latitude anticyclone plays a role in steering TCs toward this area, the northwesterly strengthened in the PH area by the low-latitude cyclone prevents TC movement toward this area. Also because of this pressure systems developed during this AO phase, TCs occur, move, and recurve in further northeastern part of the western North Pacific than they do during a negative AO phase.

Prof. Wu implemented the International Pacific Research Center (IPRC) Regional Climate Model (iRAM) and examined the internal variability of dynamically downscaled TCs over the WNP based on four simulations of 20 typhoon seasons (1982−2001) initialized on four successive days using iRAM (Wu et al. 2012d J. Climate). The results showed that on both seasonal and interannual timescales, the initial conditions significantly affect the downscaled TC activity, with the largest internal variability occurring in August on the seasonal timescale. The spreads between any of the individual simulations and the ensemble mean are comparable to and in some circumstances greater than the interannual variation of the observed TC frequency. These works have established solid foundation for my approach to study the TC-climate problems.

Meanwhile, Wu et al. (2016, BAMS) illustrates the importance of the increase in the number of available stations in assessing the long-term rainfall characteristic of typhoon-associated heavy rainfall in Taiwan. The statistical characteristics of rainfall associated with 53 typhoons from 1993 to 2013 are examined based on the rainfall data from all of the available automatic rain gauges (All-ST) and conventional weather stations (Con-ST) from the CWB of Taiwan. Analyses from both kinds of data indicate a statistically insignificant but slightly increasing trend in the average rainfall amount produced by typhoons during the 21 years of study. In addition, a strong correlation between the average rainfall and the impact duration of a typhoon exists mainly for typhoons with the most pronounced rainfall based on All-ST data. The top 10 typhoons in terms of average rainfall amount from the All-ST dataset are found to pass over northern Taiwan which leads to larger rainfall over the mountainous regions of central and southwestern Taiwan.

Choi^, K.S., C.-C. Wu*, and Y. Wang, 2014: Seasonal prediction for tropical cyclone frequency around Taiwan using teleconnection patterns. Theor. Appl. Climatol, 1-14.

Kim, J.-H., C.-C. Wu, C.-H. Sui, and C.-H. Ho, 2012: Tropical cyclone contribution to interdecadal change in summer rainfall over South China in the early 1990s. Terr. Atmos. Ocean. Sci., 23, 49-58

Wu*, C.-C., R. Zhan, Y. Lu, and Y. Wang, 2012: Internal variability of the dynamically downscaled tropical cyclone activity over the western North Pacific by the IPRC Regional Climate Model. J. Climate, 25, 2104-2122.

Choi^, K.-S., C.-C. Wu, and H.-R. Byen, 2012: Possible connection between summer tropical cyclone frequency and spring Arctic oscillation over East Asia. Clim. Dynam., 38, 2613-2629.

Choi^, K.-S., C.-C. Wu*, and Y. Wang, 2011: Effect of ENSO on landfalling tropical cyclones over the Korean Peninsula. Asia-Pac J. Atmos. Sci., 47(3), 391-397

Choi^, K.-S., C.-C. Wu*, and E.-C. Cha, 2010: Change of tropical cyclone activity by Pacific-Japan teleconnection pattern in the western North Pacific. J. Geophys. Res. Atmos., 115, D19114.

Hsu, H.-H., C.-H. Hung, A.-K. Lo, C.-C. Wu, and C.-W. Hung, 2008: Influence of tropical cyclone on the estimation of climate variability in the tropical western North Pacific. J. Climate, 21, 2960-2975.

Wu*, C.-C., H.-C. Kuo, H.-H. Hsu, and B J.-D. Jou, 2000: Weather and climate research in Taiwan: Potential application of GPS/MET data. Terrestrial, Atmospheric, and Oceanic Sciences, 11, 211-234.

Typhoon and Machine Learning/AI

Bodnar, C., W. P. Bruinsma, A. Lucic, M. Stanley, A. Allen, J. Brandstetter, P. Garvan, M. Riechert, J. A. Weyn, H. Dong, J. K. Gupta, K. Thambiratnam, A. T. Archibald, C.-C. Wu, E. Heider, M. Welling, R. E. Turner, and P. Perdikaris, 2025: A foundation model for the Earth system. Nature, 641, 1180–1187.

Reliable forecasting of the Earth system is essential for mitigating natural disasters and supporting human progress. Traditional numerical models, although powerful, are extremely computationally expensive. Recent advances in artificial intelligence (AI) have shown promise in improving both predictive performance and efficiency, yet their potential remains underexplored in many Earth system domains. This study based on international research collaboration introduces Aurora, a large-scale foundation model trained on more than one million hours of diverse geophysical data. Aurora outperforms operational forecasts in predicting air quality, ocean waves, tropical cyclone tracks and high-resolution weather, all at orders of magnitude lower computational cost. With the ability to be fine-tuned for diverse applications at modest expense, Aurora represents a notable step towards democratizing accurate and efficient Earth system predictions. These results highlight the transformative potential of AI in environmental forecasting and pave the way for broader accessibility to high-quality climate and weather information.

Fig. a, Aurora attains better track prediction MAE than several agencies in various regions. Official forecasts are given by OFCL, PGTW, CWA, BABJ, RJTD, RKSL and BoM (in bold). For the North Atlantic and East Pacific, we also compare with various models used in creating OFCL (not bold). A model does not always make forecasts, which means that different columns are computed over different data. Columns are therefore not indicative of model performance and only indicate the performance compared with Aurora. Here ‘≈’ indicates that the 95% confidence interval for the cell contains zero (see Supplementary Information Section I.3.4 for details). On average, Aurora is 20% better than other agencies in the North Atlantic and East Pacific, 18% in the Northwest Pacific and 24% in the Australian region (Aus.). b, On 21 July, a tropical depression intensified into a tropical storm and was named Typhoon Doksuri. Typhoon Doksuri would become the costliest Pacific typhoon so far, inflicting more than US$28 billion in damage. The black lines show its ground-truth paths extracted from IBTrACS40,41. Aurora correctly predicts that Typhoon Doksuri will make landfall in the Northern Philippines, whereas PGTW predicts that it will pass over Taiwan.

Loi#, C. L., K.-C. Tseng, and C.-C. Wu*, 2025: Predictability of tropical cyclone track density in S2S reforecast. npj Clim. Atmos. Sci., 8, 24 (2025).

In this study, we examine the predictability of Tropical Cyclone (TC) track density in the Subseasonal-to-Seasonal (S2S) Reforecast ensembles of the European Centre for Medium-Range Weather Forecasts (ECMWF) using the method of Average Predictability Time (APT). The most predictable of them, APTM-1, has an APT of almost three weeks and is found to be closely linked to the Boreal Summer Intraseasonal Oscillation (BSISO) and monsoon variability. Another discovery is the strong relationship between APTM-7 and the activity of mixed Rossby‐gravity (MRG) waves and tropical depression (TD)‐type disturbances despite its short APT of ~12 days. Our work provides a new possibility for improving medium-range TC forecast skill, and has revealed how underlying tropical variability can play a role in determining TC predictability.

Fig. 17. A Schematic of the APT analysis. The variance of blue (red) curve saturates more slowly (quickly) and has a larger (smaller) colored area, hence a longer (shorter) APT.

Loi#, C. L., C.-C. Wu*, and Y.-C. Liang, 2024: Prediction of tropical cyclogenesis based on machine learning methods and its SHAP Interpretation. J. Adv. Model. Earth Syst., 16, 1-20.

Loi et al. (2023) attempted to train three machine learning models with varying complexity: Random Forest, Support Vector Machine, and Artificial Neural Network, by feeding various atmospheric and oceanic, dynamic and thermodynamic variables extracted from reanalysis data, to predict cyclogenesis at a forecast lead time of 24 hours for candidate tropical disturbances, identified by an optimized Kalman Filter algorithm. An assessment by SHapley Additive exPlanations (SHAP) values reveals that mid-level (500 hPa) vorticity is the most influential factor in deriving the genesis probability at the lead time of 24 hours. Wind shear and tilting are found to possess a considerable level of importance as well. These results encourage further experiments that use physical models to explore the dynamical, mid-level pathway to tropical cyclone genesis (TCG). Another usage of SHAP values in this work is providing extra interpretability for the machine learning models, by listing out the contribution of each feature to the output genesis probability, illustrated by a case study of Typhoon Halong. This increases their reliability and forecasters can take advantage of such information to issue tropical cyclone formation warnings more accurately.

Fig. 5. Beeswarm plots showing the SHAP values for each feature in each test sample as colored dots for the model of (a) Random Forest, (b) SVC, (c) Artificial Neural Network (ANN). X-axis is SHAP value and y-axis represents different variables. Cooler (Warmer) color represents a relatively lower (higher) value of the variable. The features are ranked in terms of mean absolute SHAP values (as an indicator of importance) from the top (more important) to the bottom (less important).

|中文

(*: corresponding author; #: graduate student of Prof. Wu; ^: Postdoctor of Prof. Wu)

颱風路徑

Ito, K., C.-C. Wu, K. Chan, R. Toumi, and C. Davis, 2020: Recent progress in the fundamental understanding of tropical cyclone motion. J. Meteor. Soc. Japan, 98, 5-17

颱風移動的基礎研究
此文獻回顧論文綜述2014年之後在颱風移動議題上的基礎研究進展,並對未來的研究方向提出具體建議。

Fig. 1. Time series conventional steering data (thick black) and the contributions of the horizontal advection (HA) in the PVT equation (thick purple): (a) zonal component and (b) meridional component. The composition of HA includes the advection of the symmetric potential vorticity component by the asymmetric flow (HA1) and the advection of the wavenumber 1 potential vorticity component by the symmetric flow (HA2) terms. The anomaly in HA1 with respect to the conventional steering is shown in red, while that in HA2 is shown in blue (after Wu and Chen 2016).

Yang#, C.-C., C.-C. Wu*, and K. K.-W. Cheung, 2018: Diagnosis of large prediction errors on recurvature of Typhoon Fengshen (2008) in the NCEP_GFS model. J. Meteor. Soc. Japan, 96, 85-96

此研究以位渦度量化評估颱風駛流與大尺度動力系統的關係,探討2008年風神颱風在NCEP-GFS數值模式中路徑預報明顯偏北的誤差。分析顯示,模式中的太平洋副高壓延伸至較南邊,加上模擬的大陸高壓勢力範圍較小,模式中往西的駛流分量因此減弱,造成風神颱風偏北的預報誤差。

凡那比颱風(2010)與臺灣地形交互作用-模擬路徑、強度及降雨不確定性之探討
Lin et al. (2020, JMSJ) 使用ITOP (2010) 觀測實驗的資料以及系集卡爾曼濾波器的渦旋初始化方法產生系集模擬,用以探討台灣地形對於凡那比(2010)的路徑、強度與降雨不確定性的影響。結果顯示台灣地形的存在大大增加颱風登陸時的路徑與強度不確定性。當颱風離開台灣時,颱風中心南側伴隨持久的雨帶,其緯度位置相當程度取決於颱風中心的緯度。雨帶位置的不確定性也影響台灣南部降雨的不確定性。地形越高,雨帶將往更南方發展。此研究指出,與雨帶有關的環流與地形的交互作用是導致降雨不確定性的主因。

Fig. 10. The 2-day accumulated rainfall (mm; shaded) of 28 ensemble members in southern Taiwan from 0000 UTC 18 September to 0000 UTC 20 September 2010 in the CTL experiment. Their order is based on the latitude of the storm center (plotted by TC mark) as TC departs from the west coast of Taiwan.

Huang#, K.-C., and C.-C. Wu*, 2018: The impact of idealized terrain on upstream tropical cyclone Track. J. Atmos. Sci., 75, 3887-3910.

臺灣地形對於颱風路徑的影響
Huang and Wu (2018, JAS) 模擬理想地形對颱風路徑的影響,發現當颱風距離地形較遠時,大尺度的環境流場受到地形影響而使颱風路徑南偏,並使颱風西側的低層風速增加。當颱風內核受到地形顯著影響時,渦旋西側的低層風速由於峽道效應而顯著增加,並且將動量向上傳至中層大氣。敏感性實驗的結果顯示當地形的高度愈高,愈有利垂直動量傳輸,增加颱風中層流場的不對稱。此外,不同的颱風初始位置也會對路徑的偏折造成影響。

Fig. 1. Simulated vortex track (blue for CTL and red for NT). The black contours show the idealized terrain height used in CTL at 500-m intervals. The vortex center is marked every 3 h. The ordinate and abscissa represent the longitudinal and latitudinal distances from the terrain center, respectively. The times that the vortex starts to deflect to the south (40 h) and makes landfall (57 h) are marked on CTL.

Fig. 1. Joint Typhoon Warning Center (JTWC) best track (typhoon symbols) of Typhoon Fengshen from 0000 UTC 19 Jun to 0600 UTC 25 Jun 2008 and 72-h track forecasts from the NCEP-GFS model initialized on four successive days starting from 0000 UTC 19 Jun 2008. The time interval between each mark is 6 h. Two numbers before and after the slash (“/ ”) indicate the date and the maximum sustained wind in knot (0.514 m s−1) analyzed by JTWC.

Wu and Emanuel(1993, 1994, JAS; 1995a, b, MWR)探討如何從位渦觀點瞭解颱風運動,不僅創先提出斜壓對颱風運動的影響,更首度以位渦度量化評估颱風駛流與大尺度動力系統的關係。另外以位渦診斷創新建立雙颱風交互作用之物理架構,以瞭解雙颱風互動的過程(Wu et al. 2003, MWR; Yang et al. 2008, MWR)。客觀及量化分析影響颱風路徑之主要大氣系統特性,透過位渦診斷分析得以瞭解影響颱風路徑及移動速度變化的物理機制,同時診斷各數值模式無法掌握颱風路徑的原因(即數值模式之預測偏差)。此研究對於即時颱風路徑分析與預測,以及颱風觀測策略提供有用的思路(Wu et al. 2004, 2009b, 2012b, MWR)。Wu et al.(2015, JAS)探討台灣地形對颱風路徑之影響,提出颱風登陸後路徑往南偏折作用、機制,以及地形導致狹道效應的新見解。

Wu*, C.-C., T.-H. Li, and Y.-H. Huang, 2015: Influence of mesoscale topography on tropical cyclone tracks: further examination of the channeling effect. J. Atmos. Sci., 72, 3032-3050.

Ito^, K., and C.-C. Wu*, 2013: Typhoon-position-oriented sensitivity analysis. Part I: Theory and verification. J. Atmos. Sci., 70, 2525-2546.

Wu*, C.-C., S.-G. Chen, C.-C. Yang, P.-H. Lin, and S. D. Aberson, 2012: Potential vorticity diagnosis of the factors affecting the track of Typhoon Sinlaku (2008) and the impact from dropwindsonde data during T-PARC. Mon. Wea. Rev., 140, 2670-2688

Jung, B.-J., H. M. Kim, F. Zhang, and C.-C. Wu, 2012: Effect of targeted dropsonde observations and best track data on the track forecasts of Typhoon Sinlaku (2008) using an ensemble Kalman filter. Tellus A, 64, 1-19.

Liang, J., L. Wu, X. Ge, and C.-C. Wu, 2011: Monsoonal influence on Typhoon Morakot (2009). Part II: Numerical study. J. Atmos. Sci., 68, 2222-2235.

Wu, L., J. Liang, and C.-C. Wu, 2011: Monsoonal influence on Typhoon Morakot (2009). Part I: Observational analysis. J. Atmos. Sci., 68, 2208-2221.

Huang#, Y.-H., C.-C. Wu*, and Y. Wang, 2011: The influence of island topography on typhoon track deflection. Mon. Wea. Rev., 139, 1708–1727.

Wu*, C.-C., S.-G. Chen, J.-H. Chen, K.-H. Chou, and P.-H. Lin, 2009: Comments on "Interaction of Typhoon Shanshan (2006) with the Midlatitude Trough from Both Adjoint-Derived Sensitivity Steering Vector and Potential Vorticity Perspectives" Reply. Mon. Wea. Rev., 137, 4425–4432.

Wu*, C.-C., S.-G. Chen, J.-H. Chen, K.-H. Chou, and P.-H. Lin, 2009: Interaction of Typhoon Shanshan (2006) with the mid-latitude trough from both adjoint-derived sensitivity steering vector and potential vorticity perspectives. Mon. Wea. Rev., 137, 852–862.

Yang#, C.-C., C.-C. Wu*, K.-H. Chou, and C.-Y. Lee, 2008: Binary interaction between Typhoons Fengshen (2002) and Fungwong (2002) based on the potential vorticity diagnosis. Mon. Wea. Rev., 136, 4593-4611.

Jian, G.-J., and C.-C. Wu, 2008: A numerical study of the track deflection of Supertyphoon Haitang (2005) prior to its landfall in Taiwan. Mon. Wea. Rev., 136, 598-615.

Wu*, C.-C., T.-S. Huang, and K.-H. Chou, 2004: Potential vorticity diagnosis of the key factors affecting the motion of Typhoon Sinlaku (2002), Mon. Wea. Rev., 132, 2084-2093.

Wu*, C.-C., T.-S. Huang, W.-P. Huang, and K.-H. Chou, 2003: A new look at the binary interaction: Potential vorticity diagnosis of the unusual southward movement of Tropical Storm Bopha (2000) and its interaction with Supertyphoon Saomai (2000). Mon. Wea. Rev., 131, 1289-1300.

Wu*, C.-C., 2001: Numerical simulation of Typhoon Gladys (1994) and its interaction with Taiwan terrain using GFDL hurricane model. Mon. Wea. Rev., 129, 1533-1549.

Wu*, C.-C., and Y. Kurihara, 1996: A numerical study of the feedback mechanisms of hurricane-environment interaction on hurricane movement from the potential vorticity perspective. J. Atmos. Sci., 53, 2264-2282,

Wu*, C.-C., and K. A. Emanuel, 1995a: Potential vorticity diagnostics of hurricane movement. Part I: A case study of Hurricane Bob (1991). Mon. Wea. Rev., >123, 69-92.

Wu*, C.-C., and K. A. Emanuel, 1995b: Potential vorticity diagnostics of hurricane movement. Part II: Tropical Storm Ana (1991) and Hurricane Andrew (1992). Mon. Wea. Rev., 123, 93-109.

Wu*, C.-C., and K. A. Emanuel, 1993: Interaction of a baroclinic vortex with background shear: Application to hurricane movement. J. Atmos. Sci., 50, 62-76.

標靶觀測及資料同化

Tsai#, C.-C., G.-Y. Lien, C. S. Schwartz, S.-Y. Jiang, P.-L. Chang, J.-S. Hong, and C.-C. Wu*, 2025: Impact of RTPS and radar observation-based covariance inflation schemes on an operational convective-scale data assimilation system over Taiwan. Wea. Forecasting, 40, 2159-2177.

鬆弛法(RTPS)及基於雷達觀測的協方差膨脹方法對臺灣作業化對流尺度資料同化系統之影響
本研究基於作業化系集資料同化系統評估兩種協方差膨脹方法(背景場擴散鬆弛和基於雷達觀測加隨機擾動法)。結果顯示,在長時間連續進行分析及預報循環下,背景場擴散鬆弛(RTPS)與隨機擾動法(RAN)結合,可以提高背景場系集總體離散度、分析場準確度及短期定量降水預報能力。此外,在加隨機擾動方案中,僅在熱力學變數添加隨機擾動可與擾動四個熱動力變數,達到相當的總體離散度放大效果,同時獲得更平衡的模式初始條件。

Fig. 12. Fractions skill score (FSS) of hourly accumulated rainfall in 0- to 6-h forecasts initialized from ensemble mean analyses verified against QPESUMS observation. The FSSs are aggregated over 54 forecasts initialized every hour in the period from 0600 UTC 6 June to 1100 UTC 8 June 2022 for the mei-yu case, and computed with a neighborhood radius of 25 km at (a) 6-mm and (b) 20-mm thresholds. The CTL experiment without covariance inflation is gray, the RTPS with only RTPS method is orange, and the R1V combined RTPS and RAN is red. The dots on the top of the plots indicate those forecast hours where the differences to CTL are statistically significant at the 95% confidence level based on a bootstrapping approach with 1000 resamples, and the colors of the dots map to the colors in the legend.

Hirano, S., K. Ito, H. Yamada, S. Tsujino, K. Tsuboki, and C.-C. Wu, 2022: Deep eye clouds observed in tropical cyclone Trami (2018) during T-PARCII dropsonde observations. J. Atmos. Sci., 79, 683-703.

T-PARCII國際觀測實驗期間潭美 (2018)颱風眼內對流雲觀測
使用T-PARCII觀測計畫之投落送(dropsonde)資料和大氣-海洋耦合模式,探討熱帶氣旋(TC)Trami(2018年)眼內短時對流雲的形成。根據衛星資料,對流雲的頂部高度超過平均海平面9公里,比典型的中心雲層(2-3公里)高得多。這些雲層位於距離TC中心10-30公里處。因此,這些對流雲在本研究中被稱為深眼雲(DECs)。滴定儀資料顯示,在DEC的形成過程中,眼區的相對濕度有所增加。對熱力學條件的調查顯示,在DEC形成期間,眼區的低層暖核和相關的有利對流條件被削弱。為了闡明眼壁內對流加熱的變化對DEC形成的影響,利用Sawyer-Eliassen方程計算眼壁內對流加熱引起的二次環流和相關的絕熱升溫。在眼區,隨著DEC的形成,觀察到下沉運動的減弱和相關的垂直位溫平流、即表示眼牆內對流加熱的減弱和外移為零星形成的DEC提供有利條件。

Fig. 4. A time series of (a) the central pressure and (b) maximum wind speed in the best track data from the Japan Meteorological Agency (JMA: black solid curves) and JTWC (black broken curves), the coupled atmosphere–ocean model (blue curves), and the noncoupled atmospheric model (red curves). The best track data are provided every 6 (3) h before (after) 0000 UTC 28 Sep from JMA and every 6 h from JTWC. The central pressures and maximum wind speeds in the models are plotted every 1 h. Crosses indicate estimated values from the dropsonde data deployed in the eye region. Note that the maximum wind speeds provided by the best track data from the JMA and JTWC are 10- and 1-min averages, respectively. The maximum wind speeds in the best track data from the JTWC are shown in (b). This maximum wind speed is multiplied by 0.93 following Harper et al. (2010). Note also that the maximum wind speeds in the coupled and noncoupled models are instantaneous values.

颱風飛機觀測(追風計畫)(領導國際團隊合作,包括林博雄教授、Dr. Tetsuo Nakazawa、Prof. Patrick Harr(現為美國國家科學基金會Section Head for the Atmosphere Section within the Division of Atmospheric and Geospace Sciences, National Science Foundation, USA)、Prof. Sharan Majumdar等):歷年來颱風屢屢造成臺灣地區重大災害,颱風研究的重要性不容小覷。

國科會(科技部)於2002年8月起提供相當經費(2008年起由中央氣象局後續支持經費),進行由本人所主持的「颱風重點研究」(National Priority Typhoon Research)。首要研究項目是以「全球衛星定位式投落送」(GPS Dropwindsonde)進行飛機觀測,名為「侵台颱風之飛機偵察及投落送觀測實驗(DOTSTAR) 」(Dropwindsonde Observation for Typhoon Surveillance near the TAiwan Region),又名追風計畫。成功規劃及執行西北太平洋地區之策略性(標靶)颱風飛機觀測重大國際實驗,從2003年至2013年,颱風投落送觀測計畫已針對杜鵑等54個颱風完成69航次之飛機偵察及投落送觀測任務,總計在颱風上空飛行363小時、並成功投擲1141枚投落送。在觀測的同時,這些寶貴的投落送資料皆即時進入中央氣象局及世界各國氣象單位之電腦預測系統中,協助預測颱風路徑及分析其周圍結構,如暴風半徑及雨帶結構等,並協助衛星資料之驗證。所獲得的飛機觀測資料對臺灣及世界主要氣象預報中心之電腦模式之颱風預報有具體改進。

此先驅實驗亦成功建置國內使用飛機進行其他特殊天氣/氣候/大氣環境之重要觀測平台,例如:高空閃電(追電計畫)、西南氣流(追雨計畫)及空氣污染觀測實驗(追雲計畫)之平台,並圓滿完成世界氣象組織2008年國際聯合颱風觀測實驗(THORPEX-PARC)。此T-PARC實驗共針對如麗、辛樂克、哈格比、薔蜜等四個侵台颱風完成超過25架次國際聯合的飛機觀測,而追風計畫(DOTSTAR, Wu et al. 2005)2008年10次的任務中有多達6次參與國際的聯合飛機觀測。2008年的T-PARC實驗期間,國內追風計畫以國內跨單位整合約50小時飛行時數,難能可貴地爭取到額外十倍(500小時)豐沛的國際合作飛機觀測資源。另外2010年8月至10月追風及海洋團隊與美、日科學家合作進行ITOP(Impact of Typhoons on the Ocean in the Pacific;颱風與海洋交互作用研究)國際實驗,取得颱風活動期間珍貴的大氣及海洋資料。因為這些前所未有的觀測資料的幫助,國、內外科學家得以在颱風路徑預報、颱風形成、結構演變、路徑偏轉及變性等相關研究有重大突破。(Wu et al. 2006, 2007b, c, JAS; Chou and Wu 2007, MWR; Wu et al. 2009b, d, MWR; Yamaguchi et al.2009, MWR; Chen et al. 2010, MWR; Chou et al. 2010, JGR; Wu et al. 2010, JAS, 2012a, b, MWR; Huang et al. 2011, JAS; Yen et al. 2011, TAO)。

Chou et al. (2011, MWR)亦探討DOTSTAR (2003-09) 及T-PARC (2008) 期間所獲得的投落送資料對颱風路徑預報的影響,結果凸顯T-PARC及DOTSTAR期間投落送資料對於NCEP模式模擬颱風路徑的重要助益。其中投落送資料改善NCEP模式-1到5天的路徑模擬結果,平均改善程度為10%-30%。Chou et al. (2010, JGR) 為第一篇以投落送資料系統性驗證颱風環境中QuikSCAT海面風場資料的論文,運用投落送資料高垂直解析度特性,此研究發展出全新的投落送海面風場估計值(W40),經由DOTSTAR超過400筆資料,得以找出針對不同風場大小流域、QuikSCAT海面風場的最新誤差統計特性。加上使用微波衛星資料,此研究提出QuikSCAT現有rain flag 不夠完整之修正建議。Weissmann et al. (2011, MWR)針對T-PARC 期間所獲得的投落送資料,探討此珍貴資料對不同模式(ECMWR、JMA、NCEP、及WRF)模擬颱風路徑預報的影響,結果顯示T-PARC期間所獲得的投落送資料對於上述所有模式之颱風模擬路徑均有相當程度的改善,其中對於NCEP及WRF模式之平均改善程度達20%-40%。根據“Web of Science”網站之JCR (Journal Citation Reports),Weissmann et al. (2011, MWR)為2011及2012年高引用數論文(highly cited papers)。

Jung et al. 2012採用T-PARC實驗所獲得之珍貴觀測資料,探討投落送資料及EnKF同化方法對辛樂克颱風模擬的影響。結果發現不但投落送資料可明顯改善颱風初始位置及後續颱風路徑預報之誤差,EnKF同化方法也表現甚佳,其ensemble spread較為集中,顯示EnKF同化方法可有效同化投落送資料,並改善系集預報之成果。

吳教授所率領之追風團隊與國內外各學術、作業單位充分合作,並在國科會及中央氣象局的支持與經費支援下,成功開創並完成許許多多的觀測任務與重大科學進展論文發表,目前研究團隊已完成在台灣追風任務的開創、技術研發及理論應用等階段性使命。2013年起,已完整將追風計畫相關標準作業流程、技術與理論移轉給中央氣象局及其它相關單位(如國家實驗研究院之台灣颱風洪水研究中心),此為國科會所支持之創新研究成功移轉至實務作業之典範。此計畫成果於2009年獲選為國科會50週年「50科學成就」。

颱風策略性(標靶)觀測理論

以共軛模式計算出颱風觀測之敏感區域的創新策略 (ADSSV, Adjoint-Derived Sensitivity Steering Vector; Wu et al. 2007c, JAS; 2009b, d, MWR; Chen et al. 2011, MWR; Majumdar et al. 2011, QJRMS)。Wu et al. (2007c, JAS) 所創建的ADSSV乃是現有各種策略性觀測理論中最能直接反應颱風移動駛流的創新概念。巧妙利用矩陣原理與共軛模式特性,計算出駛流向量對於初始渦度場的敏感度,並以一簡單向量(ADSSV)呈現、為兼具數學與動力理論,且有助於實質策略性颱風觀測的重要工具。ADSSV已被採用作為新一代國際(如美國國家海洋大氣總署所屬颶風研究中心)颱風飛機觀測之重要參考。並獲邀針對此颱風策略觀測專題於2006年聯合國世界氣象組織(WMO)於Costa Rica所舉辦的「第六屆國際颱風研討會」進行30分鐘的專題講演 (Wu 2006)。在分別由臺灣國科會、美國NSF及ONR經費支持下,領導國際相關研究團隊成員進行颱風觀測策略理論比較及資料同化研究(Wu et al. 2009b),此為世界氣象組織於第六屆及第七屆國際颱風研討會後所宣示之重點議題之一。並於2009年美國氣象學會所發行Monthly Weather Review國際著名學術期刊中發表相關十數篇由吳教授所主導並衍生之國際性論文專刊(Special Collection on “Targeted Observations, Data Assimilation, and Tropical Cyclone Predictability”)。

Wu et al. (2009b, MWR)以共軛模式敏感駛流向量(ADSSV)的觀點探討影響珊珊(2006) 颱風運動的敏感區域及大尺度系統,並進一步利用位渦診斷分析這些系統對於颱風駛流的貢獻,與ADSSV的敏感性結果作驗證。這是以位渦動力詮釋觀測策略理論的創新工作。提出以共軛模式計算出颱風觀測敏感區域之颱風觀測的創新策略理論(Wu et al. 2007c),以預先評估關鍵的敏感觀測位置,配合飛機航程及航管限制以決定投落送的最適當投落位置。目前已被採用作為新一代國際(如美國國家海洋大氣總署所屬颶風研究中心)颱風飛機觀測之參考。Wu et al. (2009c, MWR)為吳教授領導國際一流相關研究團隊成員進行颱風觀測策略理論比較之獨特研究,分別由臺灣國科會、美國NSF及ONR經費支持下所完成。此研究為國際合作,共有11作者,結合世界最先進作業中心與研究單位(NTU, NRL, JMA/MRI, NCEP, ECMWF, NOAA/HRD), Univ. of Miami)針對颱風之觀測策略理論進行系統性的分析與動力比較,已瞭解各式觀測策略理論方法之異同(包括JMA SV, NOGAPS SV, ECMWF SV, NTU ADSSV, ETKF, NCEP Variance)及其動力特徵,作為實質策略性觀測之重要指標。此論文於2009年9月的WMO 3rd THORPEX Science Workshop 的「Session on Targeted observation」為主持人兼引言人(Prof. Istvan Szunyogh and Dr. Rolf Langland)加以引述為有關觀測策略理論最新的指標成果。此論文同步於ECMWF(全世界最頂尖數值預報中心)Research Department以Technical Memoranda#582刊印。

吳教授並於2010年獲邀至法國位於南印度洋屬地的La Reunion參加四年一度的「Seventh WMO International Workshop on Tropical Cyclones」(IWTC-VII),針對此議題擔任「Targeted Observation專題報告」主講人及session chair。並與 University of Miami 的Majumdar 教授合作(Majumdar et al. 2011, QJRMS)以系集技術的ETKF為研究工具,較以往不同的是,此研究提出一套新的ETKF計算方式,為凸顯颱風不對稱結構與環境流場對於影響颱風運動的重要性,並降低因颱風系集路徑預報誤差造成風場變異的貢獻,因此以Kurihara et al. (1993)濾除渦旋的方式將每個系集成員之颱風分量去除,再重新計算ETKF敏感性,針對幾項議題探討ETKF在熱帶氣旋環境下所呈現的特徵。Ito and Wu (2013) 開創TyPOS(Typhoon-Position-Oriented sensitivity analysis)颱風標靶敏感區分析法,而TyPOS訊號可定量反應出颱風初始場擾動的系集平均位置變化。

吳教授所發展的颱風EnKF資料同化方法 (Wu et al. 2010, JAS),有別於過去同化傳統的觀測資料、虛擬渦旋資料,或是直接做資料取代的颱風初始化方案,本研究創新針對颱風渦旋設計嶄新特殊觀測算符,包含颱風中心位置、渦旋移速與海表面軸對稱風速,直接以EnKF的技術同化這些特殊觀測量,此方法等同於直接將颱風的路徑與軸對稱平均結構同化至模式中,同時並能夠兼顧大氣質量場與運動場間近乎平衡之關係。本研究提供一套有效的方法,可用來進行短時段的颱風初始化也可進行長時段的同化分析,也有應用於作業模式預報上的重要潛力。此方法已成功用來探討辛樂克颱風(2008)的雙眼牆形成之關鍵動力機制,在此研究上已有重大突破 (Wu et al. 2012b, MWR; Huang et al. 2012, JAS)。Wu et al. (2012b, MWR)使用位渦診斷方法定量分析辛樂克颱風駛流場,結果顯示位於颱風東邊之太平洋高壓為導引辛樂克向西北移動的主要因子,另外也凸顯T-PARC期間DOTSTAR投落送資料對於NCEP GFS模式模擬颱風的重要助益。

Lee, J. D., D.-S. R. Park, K. Ito, and C.-C. Wu, 2021: Effects of the assimilation of relative humidity reproduced from T-PARCII and Himawari-8 satellite imagery using dynamical initialization and ocean-coupled model: A case study of Typhoon Lan (2017). J. Geophys. Res. Atmos., 126, 1-13.

Cohn, S. A., Terry H., P. Cocquerez, J. Wang, F. Rabier, D. Parsons, P. Harr, C.-C. Wu, P. Drobinski, F. Karbou , S. Vénel, A. Vargas, N. Fourrié, N. Saint-Ramond, V. Guidard , A. Doerenbecher, H.-H. Hsu, P.-H. Lin, M.-D. Chou, J.-L. Redelsperger, C. Martin, J. Fox, N. Potts, K. Young, and H. Cole, 2013: Driftsondes: Providing in-situ long-duration dropsonde observations over remote regions. Bull. Amer. Meteor. Soc., 1661-1674.

Chou#, K.-H., C.-C. Wu, and S.-Z. Lin, 2013: Assessment of the ASCAT wind error characteristics by global dropwindsonde observations. J. Geophys. Res. Atmos., 118, 9011–9021.

Huang, S.-M., R.-R. Hsu, L.-J. Lee, H.-T. Su, C.-L. Kuo, C.-C. Wu, J.-K. Chou, S.-C. Chang, Y.-J. Wu, and A. B. Chen*, 2012: Optical and radio signatures of negative gigantic jets – cases from Typhoon Lionrock (2010). J. Geophys. Res. Atmos., 117, A08307.

Jung, B.-J., H. M. Kim, F. Zhang, and C.-C. Wu, 2012: Effect of targeted dropsonde observations and best track data on the track forecasts of Typhoon Sinlaku (2008) using an ensemble Kalman filter. Tellus A, 64, 1-19.

Wu*, C.-C., Y.-H. Huang, and G.-Y. Lien, 2012: Concentric eyewall formation in Typhoon Sinlaku (2008) – Part I: Assimilation of T-PARC data based on the Ensemble Kalman Filter (EnKF). Mon. Wea. Rev., 140, 506-527.

Wu*, C.-C., and M.-J. Yang, 2011: Preface to the special issue on "Typhoon Morakot (2009): Observation, modeling, and forecasting". Terr. Atmos. Ocean. Sci., 22, 533-533.

Chou#, K.-H., C.-C. Wu*, P.-H. Lin, S. D. Aberson, M. Weissmann, F. Harnisch, and T. Nakazawa, 2011: The impact of dropwindsonde observations on typhoon track forecasts in DOTSTAR and T-PARC. Mon. Wea. Rev., 139, 1728–1743.

Chen#, S.-G., C.-C. Wu*, J.-H. Chen, and K.-H. Chou, 2011: Validation and interpretation of Adjoint - Derived Sensitivity Steering Vector as targeted observation guidance. Mon. Wea. Rev., 139, 1608–1625.

Majumdar, S. J.*, S. -G. Chen, and C.-C. Wu, 2011: Characteristics of Ensemble Transform Kalman Filter adaptive sampling guidance for tropical cyclones. Quart. J. Roy. Meteor. Soc., 137, 503-520.

Weissmann M., F. Harnisch, C.-C. Wu, P.-H. Lin, Y. Ohta, K. Yamashita, Y.-K. Kim, E.-H. Jeon, T. Nakazawa, and S. Aberson, 2011: The influence of dropsondes on typhoon track and mid-latitude forecasts. Mon. Wea. Rev., 139, 908-920.

Wu*, C.-C., G.-Y. Lien, J.-H. Chen, and F. Zhang, 2010: Assimilation of tropical cyclone track and structure based on the Ensemble Kalman Filter (EnKF). J. Atmos. Sci., 67, 3806-3822.

Lee, L.-J., A. B. Chen, S.-C. Chang, C.-L. Kuo, H.-T. Su, R.-R. Hsu, C.-C. Wu, P.-H. Lin, H. U. Frey, S. Mende, Y. Takahashi, and L.-C. Lee, 2010: The controlling synoptic-scale factors for the distribution of the transient luminous events (TLEs). J. Geophys. Res. Atmos., 115, A00E54.

Chou#, K.-H., C.-C. Wu*, P.-H. Lin, and S. Majumdar, 2010: Validation of QuikSCAT wind vectors by dropwindsonde data from Dropwindsonde Observations for Typhoon Surveillance Near the Taiwan Region (DOTSTAR), J. Geophys. Res. Atmos., 115, D02109.

Wu*, C.-C., S.-G. Chen, J.-H. Chen, K.-H. Chou, and P.-H. Lin, 2009: Comments on "Interaction of Typhoon Shanshan (2006) with the Midlatitude Trough from Both Adjoint-Derived Sensitivity Steering Vector and Potential Vorticity Perspectives" Reply. Mon. Wea. Rev., 137, 4425–4432.

Wu*, C.-C., J.-H. Chen, S. J. Majumdar, M. S. Peng, C. A. Reynolds, S. D. Aberson, R. Buizza, M. Yamaguchi, S.-G. Chen, T. Nakazawa , and K.-H. Chou, 2009: Intercomparison of targeted observation guidance for tropical cyclones in the Northwestern Pacific. Mon. Wea. Rev., 137, 2471-2492.

Yamaguchi M., T. Iriguchi, T. Nakazawa, and C.-C. Wu, 2009: An observing system experiment for Typhoon Conson (2004) using a singular vector method and DOTSTAR data. Mon. Wea. Rev., 137, 2801-2816.

Chou#, K.-H., and C.-C. Wu*, 2008: Development of the typhoon initialization in a mesoscale model – Combination of the bogused vortex with the dropwindsonde data in DOTSTAR. Mon. Wea. Rev., 136, 865-879.

Zang, X., T. Li, F. Weng, C.-C. Wu, and L. Xu, 2007: Reanalysis of Western Pacific typhoons in 2004 with multi-satellite observations. Meteorol. Atmos. Phys., 3-18.

Wu*, C.-C., K.-H. Chou, P.-H. Lin, S. D. Aberson, M. S. Peng, and T. Nakazawa, 2007: The impact of dropwindsonde data on typhoon track forecasts in DOTSTAR. Wea. Forecasting, 22, 1157-1176.

Wu*, C.-C., J.-H. Chen, P.-H. Lin, and K.-S. Chou, 2007: Targeted observations of tropical cyclone movement based on the adjoint-derived sensitivity steering vector. J. Atmos. Sci., 64, 2611-2626.

Wu*, C.-C., K.-H. Chou, Y. Wang, and Y.-H. Kuo, 2006: Tropical cyclone initialization and prediction based on four-dimensional variational data assimilation. J. of Atmos. Sci., 63, 2383–2395.

Wu*, C.-C., P.-H. Lin, S. Aberson, T.-C. Yeh, W.-P. Huang, K.-H. Chou, J.-S. Hong, G.-C. Lu, C.-T. Fong, K.-C. Hsu, I-I Lin, P.-L. Lin, C.-H. Liu, 2005: Dropwindsonde Observations for Typhoon Surveillance near the Taiwan Region (DOTSTAR): An overview. Bulletin of Amer. Meteor. Soc., 86, 787-790.

颱風生成/強度/結構

Chen#, J.-Y., and C.-C. Wu*, 2026: Exploring the causes of difference in moat width in concentric eyewalls - Ensemble simulations of Typhoon Haiyan (2013) Mon. Wea. Rev., 154, 423–444.

本研究2013年海燕颱風為基底,以系集模擬的方式產生出40個有出現完整眼牆置換的成員,並根據雙眼牆形成時moat寬度之前25%和後25%成員訂為寬組(WG)與窄組(NG)。分析結果顯示NG在雙眼牆形成前所受到之風切影響較小,因此在上風切處有較活躍的外圍雨帶對流發展,並透過非絕熱加熱產生較強的低層入流。較強的低層入流可更加深入風暴核心,在離中心較近的位置產生雙眼牆形成機制,因此在雙眼牆形成時會有較窄的moat;WG在雙眼牆形成前所受到之風切影響則較大,上風切處之外圍雨帶對流發展被壓抑,低層入流較弱。較弱的低層入流無法深入風暴核心,只能在離中心較遠的位置產生雙眼牆形成機制,因此在雙眼牆形成時會有較寬的moat。

Fig. 12. Radius-height plots of composite shear-related quadrant mean radial velocity (color shaded, m s-1) at 18 hours before SEF. (a)-(d): NG, (e)-(h): WG, (i)-(l): NG-WG difference, respectively. Hatched areas in (i)-(l) indicate differences confirmed through statistical testing.

Hsu#, C.-K., and C.-C. Wu*, 2025: Exploring the role of cloud radiative feedback in tropical cyclogenesis utilizing satellite and reanalysis dataset. J. Atmos. Sci., 82, 1137–1160.

使用衛星與再分析資料探討雲輻射回饋在熱帶氣旋生成中的角色
近年研究透過數值模擬指出,雲輻射回饋可加速熱帶氣旋初期階段的發展。本研究使用Clouds and the Earth's Radiant Energy System (CERES)與CloudSat衛星觀測,搭配ERA5再分析資料,透過比較可發展(developing, DEV)與無法發展(non-developing, NDEV)為熱帶氣旋的初期渦旋擾動,探討雲輻射回饋在熱帶氣旋生成中的角色。結果指出,雲長波加熱主導了對流組織的正貢獻並驅動次環流,有助於初始渦旋內核的加濕;相較之下,短波對對流組織的影響較小,並且主要造成渦旋結構的日夜變化。DEV系統相較於NDEV系統,在生命初期有較活躍的內核對流,驅動較強的雲長波回饋及次環流反應,有助於其進一步發展為熱帶氣旋。環境條件的比較則指出,DEV系統中較活躍的對流與較低程度的乾空氣逸入有關,並且主要來自於較弱的垂直風切與較潮濕的中層環境。

Fig. 10. (a) The box plot depicting all CMSE variance budget terms (day-1) averaged within 500 km × 500 km boxes around vortex centers for the DEV (orange) and NDEV (blue) groups in stage 1, including longwave (LW), shortwave (SW), surface enthalpy flux (SEF), advection (ADV), tendency (TEND), and mass (MASS). (b) Same as in (a), but showing the decomposition of radiative feedbacks, including longwave cloud effect (LW Cloud), longwave clear-sky condition (LW Clear), shortwave cloud effect (SW Cloud), and shortwave clear-sky condition (SW Clear). The boxes indicate the first quartile (Q1), median, and the third quartile (Q3). The whiskers extend to 1.5 times the interquartile range (IQR), and cross markers denote the sample mean. Note that the ordinates in (a) is broken between -0.55 to -0.35 and 0.35 to 0.55 for clarity in presenting data across a large range.

Chung#, M.-H., and C.-C. Wu*, 2025: On tropical cyclone genesis types and their intensification rate. Mon. Wea. Rev., 153, 811-830.

熱帶氣旋生成類型及其增強速率之探討
此研究利用K-means分群演算法對熱帶氣旋(TC)的生成類型做分類。為了比較增強速率和最大風速半徑(RMW)之間的關係,本研究計算每個個案的生命期最大增強速率(LMIR)。研究發現,有較大初始RMW的TC通常具有較低的LMIR,且RMW的大小受到TC生成類型的影響。透過K-means分群演算法,此研究將TC生成類型分為四種:東風波(Easterly Wave; EW)、季風匯流(Monsoon Confluence; MC)、季風風切(Monsoon Shear; MS)、季風低壓(Monsoon Depression; MD)。EW的對流僅出現在颱風中心周圍,這解釋為何EW的RMW較小,而MD的對流分布最為分散,因此MD的初始RMW顯著較大。即使MC和MS的RMW大小介於EW和MD之間,但由於集中在中心的對流,它們的LMIR與EW相近。

Fig. 14. Scatter plots of LMIR and TS_RMW for favorable-environment cases in different genesis types: (a) EW, (b) MC, (c) MS, and (d) MD. Crosslines indicate the mean and one standard deviation of TS_RMW and LMIR for each genesis type.

Chen#, Y.-L., and C.-C. Wu*, 2025: The impact of outer-core structure on eye formation and intensification of tropical cyclones. Mon. Wea. Rev., 153, 285-308.

外核結構對熱帶氣旋風眼形成和增強的影響
本研究透過修改 2015 年蘇迪勒颱風的外核風場進行數值模擬,以探討不同大小熱帶氣旋的增強過程。結果顯示,較小的 TC 在最大風速半徑內具有更集中且活躍的對流與潛熱加熱,從而形成更強的高層暖心。在這些情況下,深對流更常突破對流層頂進入低層平流層,回流的空氣將高位溫平流至颱風中心,進一步強化暖心並加速颱風增強。

FIG. 20. (a) Time-azimuth plot of radial maximum of W (shaded, m s-1) at 16.5 km height within the annulus of 25-50 km radius. Azimuthal angles (in meteorology angles) of environmental SRF at 17 km height within the annulus of 100-200 km radius and 200-850 hPa VWS within the annulus of 200-800 km radius are denoted in black and grey lines, respectively. (c) Time evolution of accumulated total advection in each hour (bar, K) and θ’ (red line, K) at 15 km height within a radius of 25 km. (b) As in (a), but for A14, and the annulus of 50-100 km is adopted for radial maximum of W due to its larger eyewall. (d) As in (c), but for A14 and within the radius of 50 km due to its larger warm core. Two brown lines in each panel denote the onset and end time of significant intensification, respectively. The green line in each pane denotes the eye formation time.

Ito, K., Y. Miyamoto, C.-C. Wu, A. Didlake, J. Hlywiak, Y.-H. Huang, T.-K. Lai, L. Pattie, N. Qin, U. Shimada, D. Tao, Y. Yamada, J. A. Zhang, S. Kanada, and D. Herndon, 2025: Recent research and operational tools for improved understanding and diagnosis of tropical cyclone inner core structure. J. Meteor. Soc. Japan, 103(2), 1-34.

熱帶氣旋的內核結構能量轉換探討
熱帶氣旋的內核結構對其能量轉換至關重要,並常伴隨顯著的結構變化。本文回顧並統整近年對內核過程的研究進展——涵蓋小尺度特徵、快速增強及眼牆置換——同時探討作業上對結構變化的監測方法。這些進展有助於提升防災能力,但氣候變遷對熱帶氣旋內核結構的影響仍存在不確定性。

Fig. 1. The adjustment of vortex column, warming anomalies and updrafts during the transition period from before RI onset to after RI onset. Figure 16 of Tao and Zhang (2019). © American Meteorological Society. Used with permission

Lau, K. H., C.-Y. Tam, and C.-C. Wu, 2024: Island-induced eyewall replacement in a landfalling tropical cyclone: A model study of super Typhoon Mangkhut (2018). J. Geophys. Res. Atmos., 129, 1-19.

2018 年超級颱風山竹(Mangkhut)通過呂宋島時,出現了一次非典型的「島嶼觸發眼牆置換」(IER)。原本緊密的眼牆在登陸後迅速崩解消散,當山竹進入南海後,一個半徑達 150–200 公里的新眼牆隨即形成,其規模約為原眼牆的三倍。有別於典型的眼牆置換過程,山竹的原眼牆崩解先於新眼牆的形成。數值實驗顯示,呂宋島地形在摧毀原眼牆與觸發新眼牆兩方面都至關重要;軸對稱分析則顯示,邊界層動力的變化與輻合增強激發並維持了新眼牆的深對流。

Fig. 5. Simulated radar reflectivity (shading; units: dBZ) in CTL at 6 km altitude, above the freezing level. Timestamps are in UTC. Red timestamps indicate that the simulated tropical cyclone (TC) center was over Luzon Island. The model terrain height of Luzon Island (in 500 m intervals) is indicated by black contours. Three circles at 55.5 km (0.5°), 111 km (1°), and 166.5 km (1.5°) from the storm center are plotted in each panel. The TC center automatically tracked by Weather Research and Forecasting Model is labeled by a black triangle.

Hendricks, E. A., Y. Wang, L. Wu, A. C. Didlake, and C.-C. Wu, 2023: Editorial: Tropical cyclone intensity and structure changes: theories, observations, numerical modeling and forecasting. Front. Earth Sci., 11, 1-3.

Chen#, Y.-A., and C.-C. Wu*, 2023: Environmental forcing of upper - tropospheric cold low on tropical cyclone intensity and structural change. J. Atmos. Sci., 80, 1123-1144.

通過模擬颱風尼伯特(2016年)與對流層上部冷低壓(UTCL)的相互作用,深入探討UTCL對熱帶氣旋(TC)結構與強度變化的影響。此外,通過理想化敏感性實驗深入探究導致不同交互作用的特定TC-UTCL配置模式。結果表明,與UTCL交互的熱帶氣旋呈現更為結構,並出現更早的快速增強現象。本文闡述了UTCL與熱帶氣旋強度變化之間因果關係的三種可能機制: 首先,流出擴張能耗降低導致淨熱能增加及增強速率提升。其次,外部渦旋強迫強化次級環流並促進颱風進一步發展。最終,儘管存在UTCL,剪切誘導的低熵空氣向下及徑向通風意外減弱,導致上升剪切象限內核對流增強。總體而言,由於正向效應增強與負向效應減弱,“尼伯特”颱風的UTCL-颱風相互作用過程有利於颱風增強。此外,敏感性實驗結果表明,當UTCL穩定且位於颱風北側或西北側時,產生最為有利的相互作用。

FIG. 18. The schematic diagram of real-case simulations. (a) Favorable interaction in CTRL; (b) without UTCL (NoCL).

Chen#, Y.-L., and C.-C. Wu*, 2022: On the two types of tropical cyclone eye formation: Clearing formation and banding formation. Mon. Wea. Rev., 150, 1457-1473.

颱風外核結構如何影響兩種眼的形成-深化成眼和雲捲成眼
基於衛星觀測,此研究將颱風眼的形成過程分為兩類,由中心密集雲區形成的深化成眼(Clearing Formation, CF)和由彎曲雲帶形成的雲捲成眼(Banding Formation, BF)。分析結果顯示, CF相較BF在颱風眼形成時有顯著較高的強度和增強速率、較小的眼,颱風眼形成前則有較小的暴風半徑,颱風生成和眼形成的位置略為偏東和偏南,移動方向則顯著偏西。CF和BF分別好發於秋季和夏季。BF颱風則常處於季風低壓環境,環境水氣充足,眼形成的初期較大且在徑向上的渦度梯度較緩。CF颱風常伴隨活躍地東風波背景場,環境場較乾,颱風外圍的對流活動發展受限制,次環流集中在眼牆附近發展,因此眼形成初期的渦旋較小且在徑向上有較大的渦度梯度,此外有眼牆內側較多的對流活動,該處慣性穩定度較高,潛熱釋放會更有效率地增加渦旋強度。

A conceptual hypothesis is thus proposed. As compared to BF TCs, the smaller size and weaker outer wind in CF storms associated with the easterly-wave disturbance are facilitated by inactive outer convection, leading to larger radial gradient of inertial stability. The low-level inflow can penetrate inward close to the center, resulting in a greater amount of diabatic heating inside the radius of maximum wind with much higher heating efficiency, and also a higher intensification rate.

Fig. 1. TB (°C) captured by the 10.4-μm channel in Himawari-8. (a)–(d) The TB evolution of Typhoon Goni (2020). (e)–(h) The TB evolution of Typhoon Dujuan (2015).

Yan, Z., X. Ge, Z. Wang, C.-C. Wu, and M. Peng, 2021: Understanding the impacts of upper-tropospheric cold low on typhoon Jongdari (2018) using piecewise potential vorticity inversion. Mon. Wea. Rev., 149, 1499–1515.

Lee#, T.-Y., C.-C. Wu*, and R. Rios-Berrios, 2021: The role of low-level flow direction on tropical cyclone intensity changes in a moderate-sheared environment. J. Atmos. Sci., 78, 2859–2877.

中等風切環境下颱風強度的演變–低層環境風風向的角色
Lee et al. (2021, JAS) 透過模式的理想數值實驗,探討在中等深層風切保持不變的情形下,低層風(LLF)風向對於颱風增強的影響。實驗結果顯示指向上風切左側的LLF成員(FI)與指向下風切右側的LLF成員(SI)相比,前者增強速率較快。FI的內核結構較早被建立、較早達到軸對稱化;而SI的內核結構則相對較弱且不對稱。FI 位於下風切側的海表熱通量增強,可以供給較高的能量給上風切左側的對流。藉由調整海表熱通量的分佈與眼牆對流,此研究提出新觀點指出LLF方向會影響中等風切環境下的颱風的增強。

Fig. 1. (a) The hodographs (250–600 hPa) of the horizontal environmental flow used in each member of the LLF experiment. The black thick arrow indicates the 7.0 m s−1 westerly deep-layer shear. The solid circle (diamond) symbol signifies the 600-hPa (250-hPa) level. (b) The vertical profile of the horizontal wind vectors for the corresponding LLF direction.

Shen#, L.-Z., C.-C. Wu*, and F. Judt, 2021: The role of surface heat fluxes on the size of Typhoon Megi (2016). J. Atmos. Sci., 78, 1075-1093.

Shen et al. (2021, JAS) 的研究探討颱風內不同半徑區間的海表熱通量對颱風大小的影響。透過敏感性實驗,surface heat flux feedback機制在不同半徑區間有程度不一的削弱。實驗結果顯示當海表熱通量在整個模式範圍都被限制時,將會形成較小的颱風。颱風大小對於外核海表熱通量的敏感度高於內核。當內核的海表熱通量被限制時,減弱的雨帶與其伴隨的次環流減弱被限制在內核區,對於外核絕對角動量的向內輸送影響有限,因此對於颱風大小沒有明顯影響。然而,當外核的海表熱通量被限制時,減弱的雨帶與次環流使自外部向內輸送的絕對角動量明顯減少,形成較小的颱風。

Fig. 8. The evolution of size evolution of (a) ALL, (b) R03, and (c) R36. The size is defined as the radius where the wind speed at 2-km height is 25 m s−1.

Peng#, C.-H., and C.-C. Wu*, 2020: The impact of outer-core surface heat fluxes on the convective activities and rapid intensification of tropical cyclones. J. Atmos. Sci., 77, 3907-3927.

海表熱通量與颱風的快速增強
為了更進一步探究颱風外核的海表熱通量對颱風結構與RI過程的影響,Peng and Wu (2020, JAS) 設計不同的數值實驗,限制不同半徑區間的海表熱通量。當限制的範圍在半徑60至90公里時,颱風的強度會明顯減弱。然而當限制的範圍在半徑150公里以外時,在RI前更強的內核中高層上升運動與加熱效率使颱風反而經歷了更強的RI。雖然外核的海表熱通量被抑制,內核風速的增強可從海洋提取更多能量。外核低層更大的穩定度會導致深對流的聚合,伴隨內核位渦的產生與集中,使最強的風速侷限在其中。偏相關分析的結果進一步顯示內核對流與其後6小時強度變化之間具有正相關,以及內外核對流之間則具有競爭關係。

Fig. 1. Experimental design of the CTRL and sensitivity experiments. The blue-shaded area indicates the region in which the surface heat fluxes are suppressed. The inner and outer dark blue dotted circles represent the radii of 60 and 500 km, which is equivalent to the outer boundary of the surface-heat-flux-suppressed area. The distance from the TC center to the inner boundary of the flux-suppressed area is in white.

Lee#, J.-D., C.-C. Wu*, and K. Ito, 2020: Diurnal variation of the convective area and eye size associated with the rapid intensification of tropical cyclones. Mon. Wea. Rev., 148, 4061-4082.

颱風對流區域面積及眼的大小與颱風快速增強的關係
利用Himawari-8衛星資料,Lee et al. (2020, MWR) 統整西北太平洋2015年至2017年的30個經歷RI的颱風(RI TCs),其對流面積與颱風眼大小的日變化。藉由亮度溫度將對流區域區分成對流活躍區(ACA)、混相區與非活躍區(IACA)。ACA通常在下午至隔天早晨發展旺盛,而混相區與IACA則是在白天發展。30個RI TCs在RI階段至少有一個完整的ACA日變化。同時,更強的颱風在最大風速半徑(RMW)內更容易出現連續的ACA與維持眼牆的對流雲。ACA的日變化會受到環境因素的影響,例如垂直風切、海洋熱含量、中尺度對流系統與地形等。此外,線性迴歸分析顯示當颱風在熱帶風暴階段時,RI會在一段較緩慢的增強階段後出現,加強主環流與眼牆的對流雲。當颱風眼出現在衛星影像上時,其大小會與對流活動的日循環呈現出相反的變化。

Fig. 4. The vertical wind shear (VWS) magnitude (on the left axis) and direction (on the right axis) computed from different pressure levels denoted by solid lines and pentagrams of different colors. The magnitude and direction of 850–200 hPa VWS is highlighted by a thick solid line and large pentagram. The VWS direction in the right ordinate indicates a downshear direction; for example, the W represents a shear direction from East to West. The abscissa denotes the time in the month–day–hour format. The RI period is indicated by two vertical-dashed lines.

Hu#, C.-C., and C.-C. Wu*, 2020: Ensemble sensitivity analysis of tropical cyclone intensification rate during the development stage. J. Atmos. Sci., 77, 3287-3405.

颱風強度的敏感性分析–系集預報與標靶觀測觀點
在理想的模式情境中,Hu and Wu (2020, JAS) 以系集敏感性探討颱風增強的過程。透過不同變數與颱風未來增強率之間的偏相關分析,可以將颱風強度的因素移除以探討敏感因子。結果顯示在RMW至三倍RMW之間、高度2公里以下(敏感區域)的相當位溫,與接下來2.5小時的颱風強度變化有最大的相關性。敏感區內更高的相當位溫與更強的上升氣流與眼牆中高層的垂直運動向內偏移有關,使加熱位置更靠近中心,更加有利於颱風增強。軌跡分析顯示敏感區域內的氣塊多來自邊界層入流與中層入流。活躍的外圍雨帶會增強中層入流,將更多的低相當位溫空氣帶入邊界層。驗證實驗的結果證實RMW至3倍RMW較高的相當位溫有利於颱風增強,而5倍RMW以外的高相當位溫則不利颱風增強。

Fig. 5. (a),(b) The spatial correlation between the radial wind averaged in the black contour and the radial wind in space (colored contours), and the spatial correlation between the radial wind averaged in the black contour and the vertical motion in space (shading). (c),(d) The spatial correlation between the equivalent potential temperature averaged in the black contour and the equivalent potential temperature in space (colored contours) and the spatial correlation between the equivalent potential temperature averaged in the black contour and the radial wind in space (shading). The x axis is the radius normalized by RMW and the y axis is the height.

Cheng#, C.-J., and C.-C. Wu*, 2020: The role of WISHE in the rapid intensification of tropical cyclones. J. Atmos. Sci., 77, 3139-3160.

Surface heat flux feedback與颱風的快速增強
Cheng and Wu (2020, JAS) 透過限制不同程度的海表熱通量的敏感性實驗,探討surface heat flux feedback機制對颱風RI的影響。surface heat flux feedback的減少會使RI發生的時間延後,巔峰強度減弱。RI發生前,較多的surface heat flux feedback將會導致低層大氣的相當位溫增加更快,導致更活躍的對流,也較快達到特定強度。在RI階段,較多的海表熱通量造成低層大氣對流不穩定,導致活躍的對流發展。較大的慣性穩定度使颱風的增強更有效率,達到較強的巔峰強度、更顯著的暖心與高層對流的軸對稱化。此研究指出,對於經歷RI的颱風而言,surface heat flux feedback對其增強率扮演重要角色。

Fig. 8. Radius–height plots of diabatic heating rate (shaded, K h−1), radial winds (black contours, m s−1), and absolute angular momentum (blue contours, m2 s−1), averaged for (a),(c),(e) the first and (b),(d),(f) the second 12-h periods after RI onset of (top) CTL, (middle) CAP-20, and (bottom) CAP-15.

Lee#, J.-D., and C.-C. Wu*, 2018: The role of polygonal eyewalls in rapid intensification of Typhoon Megi (2010). J. Atmos. Sci., 75, 4175-4199.

影響颱風快速增強潛在機制之探討:多邊形眼牆及強對流區與颱風大小之日變化
在Lee and Wu (2018, JAS) 的研究中,搭配不同的微物理參數化與邊界層參數化模擬梅姬(2010)的RI過程。模擬結果顯示使用WSM6微物理參數化與MN3邊界層參數化(WSM6-MN3)所得到的結果,與WDM6-MN3的模擬結果,是所有參數化組合實驗中颱風發展差異最大的兩組,並檢視這兩組實驗中的RI機制。RI發生前,WDM6-MN3的低層環境較乾、存在較強的下衝氣流,因此在RI期間WSM6-MN3的增強幅度比WDM6-MN3更為明顯。在兩個實驗中,可以在多邊形眼牆頂點位置的低層大氣中頻繁觀察到海表熱通量、位渦、絕對角動量徑向平流、慣性穩定度、超梯度風與對流爆發最大值的出現。WSM6-MN3在內核區有更多對流胞、更持久與厚實的多邊形眼牆、更強健的垂直結構。此研究指出多邊形眼牆的存在提供了有利RI發生的條件。

Fig. 3. The cross sections of tangential (contour; m s−1) and radial wind structures (shaded; m s−1) of different cycle runs for (a) first run, (b) sixth run, and (c) twelfth run. The abscissa and ordinate indicate the radial distance (km) and pressure level (hPa), respectively. The tangential wind is illustrated with a 8 m s−1 interval from the outmost contour. The tangential wind in the final cycle run reaches approximately 40 m s−1 at around 850 hPa.

Cheng#, C.-J., and C.-C. Wu*, 2018: The role of WISHE in secondary eyewall formation. J. Atmos. Sci., 75, 3823-3841.

Surface heat flux feedback與颱風雙眼牆形成
surface heat flux feedback機制在颱風發展所扮演的角色一直是颱風研究的重要議題。Cheng and Wu (2018, JAS) 設計數值實驗,以檢視雙眼牆形成(SEF, Secondary Eyewall Formation)對於surface heat flux feedback的敏感性。藉由限制不同徑向區間的海表風速,進而在不同上限值以及不同的徑向區間已達到限制海表熱通量的目的。當SEF區域附近與外側的熱通量被適度地限制時,會造成外眼牆的形成時間延遲,且內外眼牆都有所減弱。當熱通量被大量限制時,SEF並未發生。相反的,若將熱通量的區域限制在颱風內核區,對於外眼牆的影響則有限。這項研究指出surface heat flux feedback機制對於SEF與颱風發展的重要性。

Fig. 7. Time–radius Hovmöller diagrams of the azimuthal-mean vertical velocity (shaded; m s−1) and 1-km tangential wind (contours; m s−1) of (a) OSC-01, (b) OSC-05, (c) OSC-10, and (d) OSC-15. The black dashed line indicates the SEF time in CTL, and the red dashed line indicates the SEF time in each experiment. The blue arrows indicate the selected regions of suppressed heat fluxes.

Huang^, Y.-H., C.-C. Wu*, and M. T. Montgomery, 2018: Concentric eyewall formation in Typhoon Sinlaku (2008). Part III: Horizontal momentum budget analyses. J. Atmos. Sci., 75, 3541-3563.

邊界層非平衡動力過程與颱風的雙眼牆形成
Huang et al. (2018, JAS) 是Wu et al. (2012) 和Huang et al. (2012) 的後續研究,透過動量收支分析詳加探討雙眼牆的形成機制。分析結果顯示在雙眼牆形成前的切向風趨勢的快速增加有約三分之二由非梯度風趨勢所提供,再次凸顯非線性、非平衡動力過程對於雙眼牆形成的重要性。此外,此研究指出在雙眼牆形成區域的不同垂直層中,導致平均切向風增加的過程有所不同:其一是在邊界入流層內,由絕對渦度的平均徑向通量與邊界層參數化過程間的抵銷過程,其二是在邊界層頂的垂直平流過程。徑向風方程的診斷結果顯示在雙眼牆形成前一天,超非梯度力逐漸增加,使入流減速並導致雙眼牆形成區域的邊界層產生輻合的集中及增強。本研究的收支分析提出新證據,進一步支持邊界層非平衡動力導致雙眼牆形成的動力途徑。

Fig. 1. Radius–height cross sections of the azimuthally averaged (a) tangential velocity from the ocean surface to the model top and (b) radial velocity (red: outflow; blue: inflow; gray: 0 m s−1) in the lowest 5 km [highlighted by the dashed box in (a)] at 2 h after SEF. Contour intervals of tangential and radial velocity are 5 and 2 m s−1, respectively. Additional contours of ±0.5 m s−1 are plotted in (b).

Chen, G., C.-C. Wu, and Y.-H. Huang, 2018: The role of near-core convective and stratiform heating/cooling in tropical cyclone structure and intensity. J. Atmos. Sci., 75, 297-326.

Surface heat flux feedback與颱風雙眼牆形成
surface heat flux feedback機制在颱風發展所扮演的角色一直是颱風研究的重要議題。Chen and Wu (2018, JAS) 設計數值實驗,以檢視雙眼牆形成(SEF, Secondary Eyewall Formation)對於surface heat flux feedback的敏感性。藉由限制不同徑向區間的海表風速,進而在不同上限值以及不同的徑向區間已達到限制海表熱通量的目的。當SEF區域附近與外側的熱通量被適度地限制時,會造成外眼牆的形成時間延遲,且內外眼牆都有所減弱。當熱通量被大量限制時,SEF並未發生。相反的,若將熱通量的區域限制在颱風內核區,對於外眼牆的影響則有限。這項研究指出surface heat flux feedback機制對於SEF與颱風發展的重要性。

Fig. 7. Time–radius Hovmöller diagrams of the azimuthal-mean vertical velocity (shaded; m s−1) and 1-km tangential wind (contours; m s−1) of (a) OSC-01, (b) OSC-05, (c) OSC-10, and (d) OSC-15. The black dashed line indicates the SEF time in CTL, and the red dashed line indicates the SEF time in each experiment. The blue arrows indicate the selected regions of suppressed heat fluxes.

Chang#, C.-C., and C.-C. Wu*, 2017: On the processes leading to the rapid intensification of Typhoon Megi (2010). J. Atmos. Sci., 74, 1169-1200.

梅姬颱風(2010)快速增強之機制探討
Chang and Wu (2017, JAS) 的研究詳細探討梅姬(2010)的快速增強(RI)過程。透過可解析對流尺度的全物理模式,模擬颱風經歷RI前後的階段。活躍的對流活動、逐漸增強的主環流與中層暖心的發展被視為RI的前兆。對流的潛熱驅動出的次環流將較大的動量往上傳送,加強中高層的主環流。慣性穩定度的增加不僅使加熱效率提升,同時還阻止暖心結構被通風效應破壞,使地面氣壓有效的下降。位溫收支的結果顯示,中層暖心的主要成因是與對流逸出有關的平均下沉運動,而對流旺盛的主要原因則是海表焓通量的增加。此研究並指出RI的主要成因為弱至中等的對流,而對流爆發也具有影響。

Fig. 4. Flight-level winds (kt, red line) and surface winds (kt, black line) for radial distance through (a) simulated Megi at 1200 UTC 17 Oct, (b) simulated Megi at 2200 UTC 17 Oct, and (c) Typhoon Megi observation from the ITOP (Impact of Typhoons on the Ocean in the Pacific) field program [0630 UTC, pass l; from D’Asaro et al. (2014)]. In (c) solid blue dots represent the lowest 150-m dropsonde winds and the green line indicates the surface rain rate (mm h−1). The x coordinates for (a) and (b) indicate distance (km) from the simulated TC center. The azimuthal angles of the radial profiles relative to the storm centers for (a) and (b) are similar to (c).

控制颱風強度變化的主要物理機制為何,乃是目前颱風研究最重要的議題之一。針對臺灣地形如何影響颱風路徑、強度、眼牆結構及風雨分布進行觀測分析與高解析度數值模擬研究(Wu and Kuo 1999, BAMS; Wu 2001, MWR; Wu et al. 2002, Wea. & Forecasting; Jain and Wu 2007, MWR;Wu 2009a, MWR)。Wu and Cheng(1999, MWR)透過資料分析以瞭解環境風切、角動量通量、海表面溫度、外流層及位渦等因素了解影響颱風強度的重要因子。目前正在進行更多的理想與真實個案模擬,以進一步解開颱風強度研究的難題。Wang and Wu(2004, MAP)已發表一篇相關的回顧論文,並被廣為引用。Zeng et al.(2006, MWR)則透過觀測上的研究來了解環境參數對於颱風強度所扮演的角色。

T-PARC實驗在辛樂克(Sinlaku)颱風期間所獲得前所未有的飛機觀測資料,進行EnKF資料同化與數值模擬研究分析,提出雙眼牆形成之新動力機制(Wu et al. 2012, MWR 與 Huang et al. 2012, JAS)。Wu et al. (2012, MWR) 使用Wu et al. (2010)發展之颱風初始化方法,並運用2008年T-PARC追風觀測資料(包括4趟C-130之完整穿越颱風中心觀測所得颱風內部的飛機觀測資料),進行辛樂克颱風之模擬。數值模擬結果有效掌握辛樂克的演變過程,包含其路徑、強度及結構的變化。其中我們特別受到矚目的研究議題為辛樂克之雙眼牆的形成及演變,此雙眼牆過程在此研究中得以數值模擬呈現(Wu et al. 2012, MWR),並於第二部份研究中(Huang et al. 2012, JAS)進行深入的動力分析,特別是發展出雙眼牆形成的關鍵新動力機制。

Huang et al. (2012, JAS)透過Wu et al. (2011)同化模擬辛樂克颱風的數值資料,此研究針對雙眼牆的形成進行一系列的動力分析,探討雙眼牆形成之關鍵動力機制。此研究檢驗了邊界層內及附近的環流變化,發現在雙眼牆形成的區域偏離梯度風平衡之情況特別顯著,伴隨而來的主、次環流變化過程會進一步增強此不平衡之狀態,此持續的正回饋過程與雙眼牆之形成有密切關係。此研究提出一個全新的雙眼牆形成動力機制,即探討邊界層內及附近的入流與環流變化,及超梯度風不平衡動力所扮演雙眼牆形成的關鍵角色。此研究乃是雙眼牆動力的全新架構與熱門議題,國際上已有多個研究團隊(如UCLA、SUNY Albany、Univ. of Washington、Univ. of Miami、Pennsylvania State Univ.、Naval Postgraduate school、Center for Australian Weather and Climate Research、Nanjing Univ.、Peking Univ.) 廣泛引用此理論於後續研究中。根據「Web of Science」JCR (Journal Citation Reports)資料顯示,Wu et al. (2012) 及Huang et al. (2012)此兩篇皆為2013年高引用數論文(highly cited papers)。吳教授另與美國NPS(Naval Postgraduate School)Montgomery教授等人合作發表雙眼牆最新研究,探討雙眼牆的形成屬於線性邊界層過程或非線性邊界層模式的議題(Montgomery et al. 2014, JAS)。

吳教授於颱風雙眼牆動力機制的研究成果,受邀於2015年大氣科學領域出版之大氣百科全書「Encyclopedia of Atmospheric Sciences. 2nd Edition」中撰寫其中有關雙眼牆形成的「Tropical Cyclones: Secondary Eyewall Formation」章節。且另在大氣科學領域重要最新專書「Dynamics and Predictability of Large-Scale High-Impact Weather and Climate Events」一書撰寫其中「Secondary Eyewall Formation in Tropical Cyclones」章節。

吳教授發表之研究工作(Wu et al. 2016, JAS)探討對流潛熱釋放對於眼牆維持扮演重要角色,全新解釋為何颱風的環狀眼牆結構如何不受二維正壓不穩定結構影響而被破壞,釐清颱風眼牆結構基本gif ks nhe 動力過程。Wang et al. (2016, JAS)透過Sawyer-Eliassen診斷,進一步驗證及支持非平衡動力對於SEF的貢獻/角色。

Wang^, H., C.-C. Wu*, and Y. Wang, 2016: Secondary eyewall formation in an idealized tropical cyclone simulation - balanced and unbalanced dynamics. J. Atmos. Sci., 73, 3911-3930.

Wu*, C.-C., S.-N. Wu, H.-H. Wei, S. F. Abarca, 2016: The role of convective heating in tropical cyclone eyewall ring evolution. J. Atmos. Sci., 73, 319-330.

Montgomery, T. M., S. F. Abarca, R. K. Smith, C.-C. Wu, and Y.-H. Huang, 2014: Comments on "How Does the Boundary Layer Contribute to Eyewall Replacement Cycles in Axisymmetric Tropical Cyclones?" by J. D. Kepert. J. Atmos. Sci., 71, 4682–4691.

Huang#, Y.-H., M. T. Montgomery, and C.-C. Wu*, 2012: Concentric eyewall formation in Typhoon Sinlaku (2008) – Part II: Axisymmetric dynamical processes. J. Atmos. Sci., 69, 662-674.

Chou#, K.-H., C.-C.Wu, and Y. Wang, 2011: Eyewall evolution of typhoons crossing the Philippines and Taiwan: An observational study. Terr. Atmos. Ocean. Sci., 22, 535-548.

Chen#, J.-H., M. S. Peng, C. A. Reynolds, and C.-C. Wu, 2009: Interpretation of tropical cyclone forecast sensitivity and dynamics from the NOGAPS singular vector perspective. J. Atmos. Sci., 66, 3383-3400.

Wu*, C.-C., H.-J. Cheng, Y. Wang, and K.-H. Chou, 2009: A numerical investigation of the eyewall evolution in a landfalling typhoon. Mon. Wea. Rev., 137, 21-40.

Jian, G.-J., and C.-C. Wu, 2008: A numerical study of the track deflection of Supertyphoon Haitang (2005) prior to its landfall in Taiwan. Mon. Wea. Rev., 136, 598-615.

Zeng, Z., Y. Wang, and C.-C. Wu, 2007: Environmental dynamical control of tropical cyclone intensity – An observational study. Mon. Wea. Rev., 135, 38-59.

Wang, Y., and C.-C. Wu, 2004: Current understanding of tropical cyclone structure and intensity changes - A review. Meteor. and Atmos. Phys., 87, 257-278.

Wu*, C.-C., K.-H. Chou, H.-J. Cheng, and Y. Wang, 2003: "Eyewall contraction, breakdown and reformation in a landfalling typhoon", Geophys. Res. Lett., 30(17), 1887.

Wu*, C.-C., M. Bender, and Y. Kurihara, 2000: Typhoon forecasts with the GFDL hurricane model: Forecast skill and comparison of predictions using AVN and NOGAPS global analyses. J. Meteorol. Soc. JPN., 78, 777-788.

Wu*, C.-C., and H.-J. Cheng, 1999: An observational study of environmental influences on the intensity changes of Typhoons Flo (1990) and Gene (1990). Mon. Wea. Rev., 127, 3003-3031.

Wu*, C.-C., and Y.-H. Kuo, 1999: Typhoons affecting Taiwan: Current understanding and future challenges. Bulletin of Amer. Meteor. Soc., 80, 67-80.

Wu*, C.-C., and Y. Kurihara, 1996: A numerical study of the feedback mechanisms of hurricane-environment interaction on hurricane movement from the potential vorticity perspective. J. Atmos. Sci., 53, 2264-2282,

Wu*, C.-C., and K. A. Emanuel, 1994: On hurricane outflow structure. J. Atmos. Sci., 51, 1995-2003.

颱風地形交互作用

Wu*, C.-C., and S.-R. Liao, 2026: On typhoon-terrain interaction: The looping motion of Typhoon Gaemi (2024) before its landfall in Taiwan. Bull. Amer. Meteor. Soc., 107, E419-E430.

本研究探討2024年凱米颱風於登陸前數小時在台灣近岸出現路徑逆時針打轉之現象,此路徑偏折顯著延長了凱米的影響時間,造成嚴重的災害,特別是中南部地區因長時間強降雨引發大規模淹水與土石流災情。本研究利用WRF模式高解析模擬,證明打轉前期向南偏折是由颱風接近東岸山脈地形時所產生的通道效應造成,颱風西側眼牆低至中層的北風噴流驅使其產生不對稱流並向南偏移,而打轉後期低層角隅流西南風的增強則促使颱風路徑再度出現明顯北分量。

Fig. 08. (a) The schematic diagram illustrates the mechanisms during the southward-turning stage of the TC looping motion. The blue arrow indicates the inner-core circulation of Gaemi, and the red arrow rep￾resents the terrain-induced northerly channel flow. The shading east of Taiwan (the color bar at upper right) denotes the 1-km-height wind speed. The white line with arrows indicates the TC track, and the dashed circle denotes the RMW of Gaemi. (b) As in (a), but for the northward-turning stage of the TC looping motion, where red arrows represent the terrain-induced corner flow.

Liao#, S.-R., and C.-C. Wu*, 2025: Torrential remote precipitation of Typhoon Nesat (2022) over the Greater Taipei Area: Dual-polarization radar analysis and ensemble simulations. Mon. Wea. Rev., 153, 2793-2812.

遠距降水
本研究探討2022年尼莎颱風於巴士海峽通過時,於大台北地區所造成劇烈遠距降水之機制。透過五分山雷達雙偏極參數分析與WRF模式系集模擬,顯示東北風與季風槽邊緣暖溼東南風形成鋒生,是觸發豪雨的關鍵,同時證明季風槽邊緣水氣與動量傳輸亦扮演重要角色,並非完全依賴颱風環流,凸顯了季風槽與東北風交互作用於極端降水事件中的角色。

Fig. 14. The schematic diagram of the critical factors associated with heavy rainfall in the GTA. Shading over Taiwan (the colorbar at lower left) denotes the observed accumulated rainfall. The three-dimensional shaded cross-sections illustrate the distribution of θ¬e (the colorbar at upper right). The blue arrow indicates low-entropy northeasterly wind, and the red arrow represents southeasterly flow of the MT.

Lin#, Y.-H., and C.-C. Wu*, 2021: Remote rainfall of Typhoon Khanun (2017): Monsoon mode and topographic mode. Mon. Wea. Rev., 149, 733-752.

卡努颱風(2017)對台灣東部降雨的遠距影響–系集模擬與不確定性探討
Lin and Wu (2021, MWR) 探討卡努(2017)在台灣造成遠距降水的兩種模態(mode):季風模態與地形模態。結果顯示鋒生與地形導致的舉升作用是導致台灣東北部強降雨的主要機制;而地形阻擋效應和颱風外圍環流之間的交互作用則導致台灣東南部強降雨。地形模態的結果顯示,颱風外圍環流與台灣地形間的入流角和降雨的累積頻率有顯著關聯,而降雨累積頻率與颱風系集路徑有關。水氣移除與地形移除敏感性實驗則顯示台灣山區平均累積雨量會減少。此研究指出多個影響遠距降水的可能因子(秋颱與東北季風之共伴效應),而在卡努的個案中,地形舉升是主要機制。2022年10月15-17日尼莎(NESAT)颱風造成北部及宜蘭地區豪大雨及災情,即為上述遠距效應及秋颱與東北季風共伴效應的明顯實例。

Fig. 5. (a) Zones A and B. (b) The average rainfall intensity (bars; mm h−1) and the accumulated rainfall (line; mm) from 0000 UTC 12 Oct to 1500 UTC 15 Oct within zone A. (c) Same as (b), but for zone B. Shading colored in pink represents rainfall associated with monsoon mode.

Lin#, Y.-F., C.-C. Wu*, T.-H. Yen, Y.-H. Huang, and G.-Y. Lien, 2020: Typhoon Fanapi (2010) and its interaction with Taiwan terrain – evaluation of the uncertainty in track, intensity and rainfall simulations. J. Meteor. Soc. Japan, 98, 93-113.

凡那比颱風(2010)與臺灣地形交互作用-模擬路徑、強度及降雨不確定性之探討
Lin et al. (2020, JMSJ) 使用ITOP (2010) 觀測實驗的資料以及系集卡爾曼濾波器的渦旋初始化方法產生系集模擬,用以探討台灣地形對於凡那比(2010)的路徑、強度與降雨不確定性的影響。結果顯示台灣地形的存在大大增加颱風登陸時的路徑與強度不確定性。當颱風離開台灣時,颱風中心南側伴隨持久的雨帶,其緯度位置相當程度取決於颱風中心的緯度。雨帶位置的不確定性也影響台灣南部降雨的不確定性。地形越高,雨帶將往更南方發展。此研究指出,與雨帶有關的環流與地形的交互作用是導致降雨不確定性的主因。

Fig. 10. The 2-day accumulated rainfall (mm; shaded) of 28 ensemble members in southern Taiwan from 0000 UTC 18 September to 0000 UTC 20 September 2010 in the CTL experiment. Their order is based on the latitude of the storm center (plotted by TC mark) as TC departs from the west coast of Taiwan.

Huang#, K.-C., and C.-C. Wu*, 2018: The impact of idealized terrain on upstream tropical cyclone Track. J. Atmos. Sci., 75, 3887-3910.

臺灣地形對於颱風路徑的影響
Huang and Wu (2018, JAS) 模擬理想地形對颱風路徑的影響,發現當颱風距離地形較遠時,大尺度的環境流場受到地形影響而使颱風路徑南偏,並使颱風西側的低層風速增加。當颱風內核受到地形顯著影響時,渦旋西側的低層風速由於峽道效應而顯著增加,並且將動量向上傳至中層大氣。敏感性實驗的結果顯示當地形的高度愈高,愈有利垂直動量傳輸,增加颱風中層流場的不對稱。此外,不同的颱風初始位置也會對路徑的偏折造成影響。

Fig. 1. Simulated vortex track (blue for CTL and red for NT). The black contours show the idealized terrain height used in CTL at 500-m intervals. The vortex center is marked every 3 h. The ordinate and abscissa represent the longitudinal and latitudinal distances from the terrain center, respectively. The times that the vortex starts to deflect to the south (40 h) and makes landfall (57 h) are marked on CTL.

臺灣地形如何影響颱風路徑、強度、眼牆結構及風雨分布一直是吳教授主要研究專長與興趣,特別是利用觀測分析與數值模擬探討此議題 (Wu and Kuo 1999, BAMS; Wu 2001, MWR; Wu et al. 2002, Wea. & Forecasting; Galewsky et al. 2006, JGR; Jian and Wu 2008, MWR)。Wu and Kuo (1999, BAMS) 針對臺灣颱風研究的進展與挑戰發表具指標性的重要回顧論文,已獲146次SCI期刊論文引用。Wu et al. (2003, GRL)使用高解析度的數值模擬,以瞭解地形對眼牆重新發展的影響及登陸颱風中Vortex Rossby waves的演變情形,此成果亦為 Nature 雜誌的「news and views in brief」所報導。

Jian and Wu (2008, MWR)使用WRF模式探討2005年海棠颱風登陸臺灣前產生之特殊打轉移動路徑動力機制,特別是首次針對颱風與地形交互作用所引起的狹道效應(channel effect)提出完整的動力解釋。Huang et al. (2011, MWR) 研究除了探討柯羅莎颱風 (Krosa; 2007) 登陸北臺灣前打轉運動之動力機制,更利用考慮較複雜、完整物理過程的模式進行一系列的理想模擬實驗,發現了強颱在接近臺灣北部和中部時皆有顯著的南偏運動,而登陸不久後路徑又會迅速的向北偏轉,形成類似打轉的運動軌跡。不論是Krosa的個案分析或是理想實驗的結果,皆顯示颱風登陸前所發生的南偏運動與狹道效應有密切關係;此研究被2011年的UCAR magazine所引用報導。Wu et al. (2009a, MWR)則提出颱風在登陸前後眼牆之收縮、破壞及再生成的演變動力過程及其對於颱風結構與強度的影響理論,透過數值模擬探討地形與下表面變化對於颱風眼牆演變的效應,並進一步釐清非絕熱作用在眼牆維持上所扮演之角色,亦針對正壓動力於詮釋眼牆不完整之處提出新的見解,此概念與目前眼牆動力理論所強調對流擾動發展角色一致(如Montgomery et al. 2008, 2009; Moon et al. 2010)。吳教授利用理想模擬敏感性實驗探討地形對於颱風路徑的影響,透過位渦診斷及動量分析,瞭解颱風接近地形時,路徑偏折大小、方向之差異與原因;並探討造成狹道效應之條件及可能原因(Wu et al. 2015)。

Chen#, T.-C., and C.-C. Wu*, 2016: The remote effect of Typhoon Megi (2010) on the heavy rainfall over northeastern Taiwan. Mon. Wea. Rev., 144, 3109-3131.

Yen#, T.-H., C.-C. Wu*, and G.-Y. Lien, 2011: Rainfall simulations of Typhoon Morakot with controlled translation speed based on EnKF data assimilation. Terr. Atmos. Ocean. Sci., 22, 647-660.

Wu*, C.-C., T.-H. Li, and Y.-H. Huang, 2015: Influence of mesoscale topography on tropical cyclone tracks: further examination of the channeling effect. J. Atmos. Sci., 72, 3032-3050.

Huang#, Y.-H., C.-C. Wu*, and Y. Wang, 2011: The influence of island topography on typhoon track deflection. Mon. Wea. Rev., 139, 1708–1727.

Wu*, C.-C., H.-J. Cheng, Y. Wang, and K.-H. Chou, 2009: A numerical investigation of the eyewall evolution in a landfalling typhoon. Mon. Wea. Rev., 137, 21-40.

Wu*, C.-C., K. K. W. Cheung, and Y.-Y. Lo, 2009: Numerical study of the rainfall event due to interaction of Typhoon Babs (1998) and the northeasterly monsoon. Mon. Wea. Rev., 137, 2049-2064.

Jian, G.-J., and C.-C. Wu, 2008: A numerical study of the track deflection of Supertyphoon Haitang (2005) prior to its landfall in Taiwan. Mon. Wea. Rev., 136, 598-615.

Wu*, C.-C., K.-H. Chou, H.-J. Cheng, and Y. Wang, 2003: "Eyewall contraction, breakdown and reformation in a landfalling typhoon", Geophys. Res. Lett., 30(17), 1887.

颱風降雨

Liao#, S.-R., and C.-C. Wu*, 2025: Torrential remote precipitation of Typhoon Nesat (2022) over the Greater Taipei Area: Dual-polarization radar analysis and ensemble simulations. Mon. Wea. Rev., 153, 2793-2812.

遠距降水
本研究探討2022年尼莎颱風於巴士海峽通過時,於大台北地區所造成劇烈遠距降水之機制。透過五分山雷達雙偏極參數分析與WRF模式系集模擬,顯示東北風與季風槽邊緣暖溼東南風形成鋒生,是觸發豪雨的關鍵,同時證明季風槽邊緣水氣與動量傳輸亦扮演重要角色,並非完全依賴颱風環流,凸顯了季風槽與東北風交互作用於極端降水事件中的角色。

Fig. 14. The schematic diagram of the critical factors associated with heavy rainfall in the GTA. Shading over Taiwan (the colorbar at lower left) denotes the observed accumulated rainfall. The three-dimensional shaded cross-sections illustrate the distribution of θ¬e (the colorbar at upper right). The blue arrow indicates low-entropy northeasterly wind, and the red arrow represents southeasterly flow of the MT.

Liu, C.-Y., J. P. Punay, C.-C. Wu, C.-H. Chiu, and P. Aryastana, 2022: Characteristics of cloud properties, deep convective clouds, and precipitation of rapidly intensifying tropical cyclones in the western North Pacific. J. Geophys. Res. Atmos., 127, 1-16.

Lin#, Y.-H., and C.-C. Wu*, 2021: Remote rainfall of Typhoon Khanun (2017): Monsoon mode and topographic mode. Mon. Wea. Rev., 149, 733-752.

卡努颱風(2017)對台灣東部降雨的遠距影響–系集模擬與不確定性探討
Lin and Wu (2021, MWR) 探討卡努(2017)在台灣造成遠距降水的兩種模態(mode):季風模態與地形模態。結果顯示鋒生與地形導致的舉升作用是導致台灣東北部強降雨的主要機制;而地形阻擋效應和颱風外圍環流之間的交互作用則導致台灣東南部強降雨。地形模態的結果顯示,颱風外圍環流與台灣地形間的入流角和降雨的累積頻率有顯著關聯,而降雨累積頻率與颱風系集路徑有關。水氣移除與地形移除敏感性實驗則顯示台灣山區平均累積雨量會減少。此研究指出多個影響遠距降水的可能因子(秋颱與東北季風之共伴效應),而在卡努的個案中,地形舉升是主要機制。2022年10月15-17日尼莎(NESAT)颱風造成北部及宜蘭地區豪大雨及災情,即為上述遠距效應及秋颱與東北季風共伴效應的明顯實例。

Fig. 5. (a) Zones A and B. (b) The average rainfall intensity (bars; mm h−1) and the accumulated rainfall (line; mm) from 0000 UTC 12 Oct to 1500 UTC 15 Oct within zone A. (c) Same as (b), but for zone B. Shading colored in pink represents rainfall associated with monsoon mode.

Yu, C.-K., L.-W. Cheng, C.-C. Wu, and C.-L. Tsai, 2020: Outer tropical cyclone rainbands associated with Typhoon Matmo (2014). Mon. Wea. Rev., 148, 2935-2952.

Yu, C.-K., C.-Y. Lin, L.-W. Cheng, J.-S. Luo, C.-C. Wu, and Y. Chen, 2018: The degree of prevalence of similarity between outer tropical cyclone rainbands and squall lines. Sci. Rep., 8, 1-15.

Wu, M., C.-C. Wu, T.-H. Yen., and Y. Luo, 2017: Synoptic analysis of extreme hourly precipitation in Taiwan during 2003-12. Mon. Wea. Rev., 145, 5123-5140.

2003-2012年台灣極端時雨量分析
Wu et al. (2017, MWR)研究2003-2012年期間臺灣地區超過 5年、10 年和 20 年及 100 mm h-1 的極端小時降水量的統計特徵。所有極端降水記錄根據其發生的同步狀況分為四種類型:熱帶氣旋、鋒面、弱同步強迫和渦旋/切變線類型。熱帶氣旋類型占總記錄的四分之三以上,而鋒面類型和弱同步強迫類型的比例相當(9%-13%)。每小時的極端降水量主要歸因於 5 月至 6 月中旬的梅雨鋒和 7 月至 10 月的熱帶氣旋。熱帶氣旋類型的持續時間往往較長(>12 小時),每小時降水強度的演變呈對稱趨勢,而鋒面類型和弱同步強迫類型的持續時間通常較短(<6 小時),演變模式略不對稱。熱帶氣旋型又可根據熱帶氣旋中心相對於台灣海岸線的位置,再細分為七個亞型。當TC中心位於台灣上空或靠近海岸線,I-IV亞型的空間分布主要取决於TC接近台灣地形的部分。當 TC 中心遠離台灣時,V-VII 亞型的空間分布則由盛行西南氣流或東北氣流的強度以及 TC 環流影響中央山脈的區域共同決定。

Fig. 7. The temporal evolution of hourly rainfall intensity (%; relative to the extreme rainfall amount) 6 h before and after the time of extreme precipitation: (a) TC type, (b) front type, and (c) weak-synoptic forcing type. The middle of each bar represents the median ratio value, the top (bottom) of each bar indicates the 75% (25%) ratio value, and the top (bottom) line denotes the 90% (10%) ratio value. The median ratio values are connected by gray solid lines in each panel.

對臺灣而言,由於時常受到颱風侵襲且地形複雜,降水機制與定量降水預報的探討仍是重大科學議題 (Wu et al. 2009b, MWR)。颱風所伴隨降水現象之機制與預報,是颱風研究之關鍵議題。以1996年賀伯颱風造成阿里山測站破紀錄之日降水量(1736 mm)為個案,Wu et al. (2002)乃是建構新的颱風初始化方法,以高解析度數值模式模擬颱風降雨及探討臺灣地形模式解析度角色的指標性研究論文。此研究工作開啟臺灣區域颱風降雨數值模擬議題,引領國內外更多後續研究工作,達250次以上引用數。

Wu et al. (2009c, MWR) 研究則為首次於SCI國際期刊發表探討秋颱降雨機制之論文,即秋季時巴士海峽上颱風(Typhoon Babs)與東北季風之共伴環流效應所導致的劇烈降雨特徵。透過數值實驗此研究特別釐清颱風環流、東北季風及臺灣地形三者對於降雨所扮演的相對角色。文中所列之降雨機制示意圖及概念,已為學者多所引用。Wu et al. (2010, MWR) 藉由1999年之雙颱(Rachel及Paul颱風),探討去除Paul颱風環流及所處大尺度季風槽系統,對Rachel颱風路徑及降水現象所造成的影響。

Yen et al. (2011, TAO) 則創新研究運用EnKF同化方法 (Wu et al. 2010, JAS) 控制颱風之移動速度,定量探討2009年莫拉克颱風 (Morakot) 移速對颱風累積降水量所造成的影響。結果發現當颱風移速增加近一倍時,即颱風滯留陸地時間減少36%時,颱風通過臺灣期間的累積降水量減少約33%,此量化結果有效釐清莫拉克颱風移速對於颱風累積降水的角色,對於瞭解颱風降水機制有所助益,也有利於氣象實際作業單位之預報參考,並為颱風所帶來降雨總量與颱風移速之關係,提供清晰概念銓釋及啟發。此篇論文獲得中華民國氣象學會2012年「黃廈千博士學術論文獎」。

Wu et al. 2013 (MWR)結果顯示不同颱風路徑群所造成台灣地區不同降雨結果與地形效應。顯示台灣地形與颱風路徑預報對台灣地區颱風定量降水預報之重要性。另外吳教授以TAO (Terrestrial, Atmospheric and Oceanic Sciences)總編輯身份規畫並推動於2011年發行 「Special issue on “Typhoon Morakot (2009): Observation, Modeling, and Forecasting”」,並在專刊中發表4篇研究成果。另外吳教授以TAO總編輯身份發表「Typhoon Morakot (2009): A special issue in Terrestrial, Atmospheric and Oceanic Science (TAO) Journal」於Bulletin of the American Meteorological Society (BAMS)期刊(Wu 2013)。Chen and Wu (2016, MWR)針對2010年梅姬颱風對台灣東北部降雨的遠距影響進行系集模擬與不確定性探討,分析颱風的遠距影響作用及強降水機制。

Chen#, T.-C., and C.-C. Wu*, 2016: The remote effect of Typhoon Megi (2010) on the heavy rainfall over northeastern Taiwan. Mon. Wea. Rev., 144, 3109-3131.

Wu*, C.-C., T.-H. Yen, Y.-H. Huang, C.-K. Yu, and S.-G. Chen, 2016: Statistical characteristic of heavy rainfall associated with typhoons near Taiwan based on high-density automatic rain gauge data. Bull. Amer. Meteor. Soc., 97, 1363-1375.

Hendricks, E., Y. Jin, J. Moskaitis, J. Doyle, M. Peng, C.-C. Wu, and H.-C. Kuo, 2016: Numerical simulations of Typhoon Morakot (2009) using a multiply-nested tropical cyclone prediction model. Wea. Forecasting, 31, 627-645.

Wu*, C.-C., S.-G. Chen,, S.-C. Lin, T.-H. Yen, and T.-C. Chen, 2013: Uncertainty and predictability of tropical cyclone rainfall based on ensemble simulations of Typhoon Sinlaku (2008). Mon. Wea. Rev., 141, 3517-3538.

Wu*, C.-C., 2013: Typhoon Morakot (2009): Key findings from the Journal TAO for improving prediction of extreme rains at landfall. Bull. Amer. Meteor. Soc., 94, 155-160.

Tao, W.-K., J. J. Shi, P.-L. Lin, J. Chen, S. Lang, M.-Y. Chang, M.-J. Yang, C.-C. Wu, Christa P.L., C.-H. Sui, and Ben J.-D. Jou, 2011: High-resolution numerical simulation of the extreme rainfall associated with Typhoon Morakot. Part I: Comparing the impact of microphysics and PBL parameterizations with observations. Terr. Atmos. Ocean. Sci., 22, 673-696.

Yen#, T.-H., C.-C. Wu*, and G.-Y. Lien, 2011: Rainfall simulations of Typhoon Morakot with controlled translation speed based on EnKF data assimilation. Terr. Atmos. Ocean. Sci., 22, 647-660.

Lee, C.-S., C.-C. Wu, T.-C. Chen Wang, and R. L. Elsberry*, 2011: Advances in understanding the “Perfect monsoon-influenced typhoon”: summary from international conference on Typhoon Morakot (2009). Asia-Pac J Atmos Sci., 47(3), 213-222.

Wu*, C.-C., K. K.-W. Cheung, J.-H. Chen, and C. C. Chang, 2010: The impact of Tropical Storm Paul (1999) on the motion and rainfall associated with Tropical Storm Rachel (1999) near Taiwan. Mon. Wea. Rev., 138, 1635-1650.

Wu*, C.-C., K. K. W. Cheung, and Y.-Y. Lo, 2009: Numerical study of the rainfall event due to interaction of Typhoon Babs (1998) and the northeasterly monsoon. Mon. Wea. Rev., 137, 2049-2064.

Galewsky, J., C. P. Stark, S. Dadson, C.-C. Wu, A. H. Sobel, and M.-J. Hong, 2006: Tropical cyclone triggering of sediment discharge in Taiwan. J. Geophys. Res., 111, F03014.

Wu*, C.-C., T.-H. Yen, Y.-H. Kuo, and W. Wang, 2002: Rainfall simulation associated with Typhoon Herb (1996) near Taiwan. Part I: The topographic effect. Wea. Forecasting, 17, 1001-1015.

Wu*, C.-C., K.-H. Chou, H.-J. Cheng, and Y. Wang, 2003: "Eyewall contraction, breakdown and reformation in a landfalling typhoon", Geophys. Res. Lett., 30(17), 1887.

颱風海洋交互作用

Pun, I.-F., I-I Lin, and C.-C. Wu, 2025: Suppression of marine heatwave activity by tropical cyclone-induced upper ocean cooling. Science Advances, 11, eadw8070 (2025), 12 pp.

Chang#, K.-F., C.-C. Wu*, and K. Ito, 2023: On the rapid weakening of Typhoon Trami (2018): Strong sea surface temperature cooling associated with slow translation speed. Mon. Wea. Rev., 151, 227-251.

潭美颱風 (2018)快速減弱: 慢速移動颱風之海表面溫度冷卻
使用大氣耦合模式和觀測資料探討2018年潭美颱風快速減弱的過程及原因。觀測資料和模擬結果皆顯示,潭美颱風在移動速度緩慢期間有顯著的海洋冷卻,同時颱風強度快速減弱。模擬結果這是因為海表溫大幅下降,造成颱風內核處能從海洋獲得的焓通量下降,同時也使颱風內核邊界層變得穩定,進而形成穩定邊界層,抑制颱風內核對流的發展,內核區域的深對流及非絕熱加熱大幅減少,導致颱風快速減弱。T-PARCII研究 (Tropical cyclones-Pacific Asian Research Campaign for Improvement of Intensity estimations/forecasts)中的投落送觀測資料也顯示穩定邊界層的存在。隨著潭美颱風緩慢移動速度而來的顯著海表面顯著冷卻並進一步影響後續眼牆置換過程,限制了眼牆置換後的眼牆內縮。

Fig. 6. Plan views of (a)–(c) SST at 1200 UTC 28 Sep and (d)–(f) SST difference (color shaded; °C) between 1200 UTC 22 and 1200 UTC 28 Sep 2018 for (left) OI SST, (center) C1D, and (right) C3D. Red- and orange-outlined circles represent the first and second deceleration periods.

Chih^, C.-H., and C.-C. Wu*, 2020: Exploratory analysis of upper ocean heat content and sea surface temperature underlying tropical cyclone rapid intensification in the western north Pacific. J. Climate, 33, 1031-1050.

颱風快速增強時的上層海洋熱含量與海表面溫度
Chih and Wu (2020, J. Climate) 統計1998年至2016年西北太平洋經歷RI的颱風與海洋上部熱力結構(UOHC)、海表溫(SST)之間的關係。統計結果顯示UOHC與SST在RI期間較非RI期間高,但經過高UOHC/SST區域的颱風不一定會經歷RI。颱風內核區的UOHC/SST因為颱風導致的海洋冷卻而降低,而在低緯區域,颱風所經之處的UOHC降低比SST下降更明顯。大部分的颱風RI期間都與更高的UOHC有關,但SST則不存在這種關係。此外,颱風在RI期間的增強率與UOHC 存在統計相關性,但與SST關係不大。在所選資料的期間,颱風經過的UOHC有顯著的增加趨勢。根據不同算法,經歷RI的颱風在過去這段時期會有不同趨勢。UOHC、SST與經歷RI的颱風比例在五種聖嬰類別之間的差異則沒有統計顯著性。

Fig. 2. Distribution of TCs probability density functions (PDFs) of TCs are calculated using 1998–2016 TCs in Western North Pacific UOHC and SST. The red solid (blue solid), red long dashed (blue long dashed), and red dashed (blue dashed) lines show the PDFs of UOHC (SST) for all TCs, RI, and non-RI duration, respectively.

Pun, I.-F., I-I Lin, C.-C. Lien, and C.-C. Wu, 2018: Influence of the size of supertyphoon Megi (2010) on SST cooling. Mon. Wea. Rev., 146, 661-677.

熱帶氣旋大小對颱風引起的海表面溫度冷卻的影響
梅姬颱風的數值模擬實驗顯示,熱帶氣旋的大小可以對颱風引起的海表面溫度冷卻程度產生顯著影響。模擬分析表明,如果"梅姬"並未增大,該颱風期間的海面溫度(SST)冷卻幅度將減少52%(從4°降至1.9°C),右側的冷卻的右偏差將減少60%(或30公里),冷卻的寬度將減少61%(或52公里)。這一結果顯示,颱風大小對海溫冷卻具有重要影響。

Fig. 1. (a) Daily composites of satellite microwave SST after Megi’s passage on 18 Oct and 22 Oct 2010. The vertical dashed line separates the two composites, which are made from the observations from the Tropical Rainfall Measuring Mission (TRMM) Microwave Imager (TMI) and the Advanced Microwave Scanning Radiometer for Earth Observing System (AMSR-E) provided by Remote Sensing Systems (RSS). Note that there are a number of missing data (in gray) due to heavy rains of Megi. Megi’s best track from IBTrACS is superimposed, color coded by the Saffir–Simpson hurricane wind scale. Triangles depict the ocean temperature profiles retrieved from the Global Temperature and Salinity Profile Programme (GTSPP) database, while the solid triangles depict the selected profiles used for the simulations. The geographic locations and simulation domains (dashed boxes) for the Philippine Sea and the South China Sea are also shown. (b) The corresponding SST decrease map showing pre-Megi conditions on 15 Oct 2010.

Lin et al. (2005, MWR)使用海表面高度距平 (SSHA) 與一個簡單的海洋耦合模式(CHIPS),探討海洋暖渦旋在颱風強度改變的議題中所扮演的角色。研究結果顯示一個新的詮釋觀點(與過去學者所強調之Ocean heat content概念有所不同),即海洋暖渦抑制颱風引起海表面溫度冷卻反應之負回饋作用,即暖渦旋所伴隨之較厚混合層可有效降低颱風引發之海表面溫度冷卻作用,使梅米颱風得以發展至超級強烈颱風。此理論亦在2005年侵襲美國紐奧良地區的卡崔娜颶風中得到充分印證,並已為相關研討及文獻所引用。

吳教授與林依依教授合作進一步探討海洋暖渦所扮演的強烈颱風加強作用角色(Wu et al. 2007a, JAS; Lin et al. 2008, MWR, 2009a, GRL, b, MWR, 2011, TAO)。Wu et al. (2007a, JAS) 設計使用理想的颱風海洋耦合模式來探討海洋暖渦對颱風強度影響的問題。研究中藉由設計不同的海洋熱力結構來探討颱風與海洋的相互影響情形,清楚釐清各物理量對於颱風與海洋交互作用的影響以及海洋暖渦結構所扮演的角色。為凸顯海洋熱力結構的角色,此研究創新提出一個有關ocean eddy feedback 的無因次參數,並藉由近一千五百組的數值實驗,界定出幾個重要物理參數(如颱風移速、海洋混合層厚度、海洋分層結構等)對於颱風與海洋交互作用的定量影響。

另外2010年夏天吳教授與物理海洋科學家、及美、日相關領域科學家合作,同步參與ITOP (Impact of Typhoons on the Ocean in the Pacific)的颱風海洋交互作用國際觀測實驗,結合臺灣追風團隊的ASTRA及美國的C130飛機共同進行颱風相關的大氣聯合觀測資料,加上臺灣海洋界、美、日等國許多船舶、浮標(buoy)等設備觀測颱風期間海洋方面的資料。此為針對海洋結構及海氣通量在颱風結構與強度扮演的角色所進行之國際觀測計畫,追風計畫亦為量測大氣環境資料重要的一環,透過豐富的資料蒐集,海洋與大氣的耦合作用,cold wake的形成與維持及其對颱風的反饋進行更深入的研究。D’Asaro et al ,2013 (BAMS)即運用ITOP實驗所獲得之珍貴海氣資料,探討並研究2010年梅姬颱風與海洋間的交互作用與機制,並且釐清在西北太平洋的海氣交互作用機制與大西洋的海氣交互作用異同。Wu et al. (2016, JGR)透過颱風-海洋耦合模式,綜整比較ITOP實測海洋資料,深入探討Megi颱風在南海較小OHC(Ocean Heat Content)區域的cold wake形成過程及對於Megi強度及動力回饋的影響。此也是颱風與海氣交互作用重要機制的最新科學研究探討議題。

Ko, D. -S., S.-Y. Chao, C.-C. Wu, I-I Lin, and S. Jan, 2016: Impacts of tides and Typhoon Fanapi (2010) on seas around Taiwan. Terr. Atmos. Ocean. Sci., 27, 261-280.

Wu*, C.-C., W.-T. Tu, J.-F. Pun, I-I Lin, and M. S. Peng, 2016: Tropical cyclone-ocean interaction in Typhoon Megi (2010) - A synergy study based on ITOP observations and atmosphere-ocean coupled model simulations. J. Geophys. Res. Atmos., 121, 153-167.

Ko D.-S., S.-Y. Chao, C.-C. Wu, and I.-I. Lin, 2014: Impacts of Typhoon Megi (2010) on the South China Sea. J. Geophys. Res. Atmos., 1-16.

D’Asaro, E. A., P. G. Black, L. R. Centurioni, Y.-T. Chang, S. S. Chen, R. C. Foster, H. C. Graber, P. Harr, V. Hormann, R.-C. Lien, I.-I. Lin, T. B. Sanford, T.-Y. Tang, and C.-C. Wu, 2014: Impact of typhoons on the ocean in the Pacific. Bull. Amer. Meteor. Soc., 1405-1418.

Lin, I.-I., P. Black, J. F. Price, C.-Y. Yang, S. S. Chen, C.-C. Lien, P. Harr, N.-H. Chi, C.-C. Wu, and E. A. D’Asaro, 2013: An ocean coupling potential intensity index for tropical cyclones. Geophys. Res. Lett., 40, 1878-1882.

Zhan, R., Y. Wang, and C.-C.Wu, 2011: Impact of SSTA in East Indian Ocean on the frequency of Northwest Pacific tropical cyclones: A regional atmospheric model study. J. Climate, 24, 6227-6242.

Lin, I-I, M.-D. Chou, and C.-C. Wu, 2011: The impact of a warm ocean eddy on Typhoon Morakot (2009) – A preliminary study from satellite observations and numerical modeling. Terr. Atmos. Ocean. Sci., 22, 661-671.

Lin, I-I, C.-H. Chen, I.-F. Pun, W. T. Liu., and C.-C. Wu, 2009: Warm ocean anomaly, air sea fluxes, and the rapid intensification of tropical cyclone Nargis. Geophys. Res. Lett., 36, L03817.

Lin, I-I, I.-F. Pun, and C.-C. Wu, 2009: Upper ocean thermal structure and the western North Pacific category-5 typhoons. Part II: Dependence on translation speed. Mon. Wea. Rev., 137, 3744-3757.

Lin, I-I, C.-C. Wu, F. Pam, and D.-S. Ko, 2008: Upper ocean thermal structure and the western North Pacific category-5 typhoons. Part I: Ocean features and category-5 typhoon’s intensification. Mon. Wea. Rev., 136, 3288-3306.

Wu*, C.-C., C.-Y Lee, and I-I Lin, 2007: The effect of the ocean eddy on tropical cyclone intensity. J. Atmos. Sci., 64, 3562-3578.

Lin, I-I, C.-C. Wu*, K. A. Emanuel, I-H. Lee, C. Wu, and F. Pan, 2005: The interaction of Supertyphoon Maemi (2003) with a warm ocean eddy. Mon. Wea. Rev., 133, 2635–2649.

Lin, I.-I., W. T. Liu, C.-C. Wu, G. Wong, C. Hu, Z. Chen, W.-D. Liang, Y. Yang, and K.-K. Liu, 2003: New evidence for enhanced ocean primary production triggered by tropical cyclone. Geophys. Res. Lett., 30(13), 1718.

Lin, I.-I., W. T. Liu, C.-C. Wu, J. C. H. Chiang, and C.-H. Sui, 2003: Satellite observations of modulation of surface winds by typhoon-induced ocean cooling. Geophys. Res. Lett., 30(3).

颱風與氣候變遷

Huang^, Y.-H., Y.-C. Li., C.-C. Wu*, H.-H. Hsu, and H.-C. Liang, 2025 : Future Tropical Cyclones in the Western North Pacific under Global Warming Trend: Track Cluster Analysis. J. Climate, 38, 2413–2434.

全球暖化趨勢下西北太平洋颱風: 路徑群集分析
此研究分析了西北太平洋(WNP)熱帶氣旋(tropical cyclone; TC)活動在四種海表溫度(sea surface temperature; SST)暖化分布下情境的推估結果及所伴隨的不確定性。21世紀後期,在RCP8.5增暖情境下,WNP熱帶氣旋在六個分類TC路徑群集和四個未來推估中呈現以下一致的變化:TC數量減少、生命期最大強度(lifetime maximum intensity; LMI)的機率分布向更高強度延伸,以及平均增強速率提高。

其他TC參數的未來推估在不同TC路徑群集或不同推估結果之間存在差異。例如,研究結果顯示,對於受到路徑群集C1和C5颱風影響的區域,應積極擬定相關的災害減緩及調適策略。推估結果顯示多數TC路徑群集在暖化的未來會出現更大的LMI極值,除此之外,C1 TC路徑群集的平均LMI也呈現顯著的增強訊號,因此C1 TC影響的廣大西北太平洋沿岸地區受颱風災害影響的風險將會顯著提高。部分先前研究中指出的平均LMI位置北移現象僅在一個TC路徑群集中顯現。值得注意的是,在暖化的未來,C5 TC路徑群集的主要LMI區域在四個推估結果中都顯示顯著的北移訊號,同時C5 TC影響日本和朝鮮半島的機會也是提高。

此研究分析顯示,基於季節平均通風指數(ventilation index; VI)估算的TC發展環境有利性,無法解釋平均TC增強速率的增加及TC數量的大幅減少。未來的研究應繼續探討影響TC主要生成區的環境條件變化,以及增暖情境下TC渦旋結構是否發生變化,進而影響TC的增強速率。

Fig. 11. Projected changes in intra-cluster kernel density of three different TC metrics for the ensemble mean across the four projections. For TC genesis and LMI locations, changes are displayed where the corresponding kernel density value, either in the present-day simulation or in the ensemble mean of the future projections, is greater than 0.001. Colored contours denote the primary zones for TC occurrence (navy), genesis (green), and LMI (magenta), in the present-day simulation (dashes) and the ensemble mean of the four projections (solid). Areas with limited robustness are marked with green crosses.

Chih^, C.-H., C.-C. Wu*, Y.-H. Huang, Y.-C. Li, L.-Z. Shen, H.-H. Hsu, and H.-C. Liang, 2024: Intense tropical cyclones in the Western North Pacific under global warming: A dynamical downscaling approach. J. Geophys. Res. Atmos., 129, 1-22.

動力降尺度方法研究全球暖化對西太平洋强烈熱带氣旋的影響
本研究通過動態降尺度方法評估全球變暖對西太平洋(WNP)熱帶氣旋的影響,結果表明,納入降尺度模擬有助於更好地再現熱帶氣旋生命史中最大強度(LMI)的概率分佈。在氣候變暖的情況下,與全球模式的結果相比,降尺度模擬顯示強度極強的熱帶氣旋將對西北太平洋陸地構成更大的威脅,因為在降尺度模擬中它們的增強幅度會大幅提高,而且其達到生命週期最大強度位置將會西移往陸地沿岸靠近。

Fig. 2. of Chih et al. (2024, JGR): The HiRAM25 and HiRAM25d5 mean intensity tendency (solid lines) of each CURRENT (C) and FUTURE (F) scenarios and the top-5%-LMI TCs with top 5% lifetime maximum intensity (LMI; dotted lines). Time zero represents the LMI time. Shaded areas indicate the standard deviation.

Chih^, C.-H., K.-H. Chou, and C.-C. Wu*, 2022: Idealized simulations of tropical cyclones with thermodynamic conditions under reanalysis and CMIP5 scenarios. Geoscience Letters, 9, 1-20.

全球暖化下的環境熱力場變化對熱帶氣旋強度與大小的影響
透過CMIP5推估的未來環境熱力場和區域動力模式,進行一系列理想數值實驗,探討全球暖化下海洋大氣熱力結構的改變情況如何影響西北太平洋颱風的大小和強度。數值模擬結果顯示,在RCP8.5(Representative Concentration Pathway 8.5)暖化情境下颱風會變大變強,這可能歸因於大氣海洋之間的熱力不平衡加劇,以及颱風高層外流層溫度大幅增暖。

Fig. 2. (a) The spatially and temporally averaged vertical profiles of Tatm (solid lines) in the upper troposphere and rv(dashed lines) for the following reanalysis data: NCEP/NCAR R-1 (green), ERA20C (blue), and CIRES20 (red) and the vertical profile of Jordan (1958) sounding (purple). P is pre-stage from 1921 to 1950, M is mid-stage from 1951 to 1981, and L is later-stage from 1981 to 2010. (b) The changes of Tatm and c rv were calculated as differences between pre-stage and other stages of reanalysis experiments, but differences between mid-stage and later-stage were calculated for NCEP/NCAR R-1.

Wu et al. (2012, J. Climate)使用區域大氣模式探討西北太平洋之熱帶氣旋特徵,顯示模擬中的熱帶氣旋不論在季節尺度或者年際變化上,皆存在相當大的變異度。也發現系集平均能夠提供較準確且合理的颱風個數之變化。另外也探討海溫距平及ENSO與颱風間的關係(Zhan et al,. 2011 J. Climate; Choi et al. 2011, A-P JAS; Choi et al. 2012, Clim. Dynam.)。有關颱風與氣候間之研究,乃是吳教授近年全新拓展的研究領域。Choi et al. (2011, Asia-Pac J. Atmos. Sci.)探討ENSO對登陸韓國颱風之影響,結果發現當Nino-3.4指數減少時,颱風登陸的路徑會略為偏北。而中性ENSO狀態時,許多颱風登陸韓國前,均因太平壓高壓西伸使得颱風先通過中國大陸陸地而強度減弱。

Zhan et al. (2011, J. Climate)探討西北太平洋颱風生成個數與東印度洋海溫距平之關係,結果發現當移除兩個東印度洋極端年的海溫距平 (1994年的最高值及1998年的最低值)之後,西北太平洋颱風生成的個數即回復正常氣候平均值,顯見兩者關係相當密切。此為呈現西北太平洋颱風與大尺度(印度洋)洋溫關聯之重要新貢獻論文。Wu et al. 2012c (J. Climate).為了探討颱風模擬在氣候模式中的掌握能力以及不確定性,使用國際太平洋研究中心(International Pacific Research Center)區域大氣模式模擬西北太平洋之熱帶氣旋特徵,利用初始擾動探討四組系集成員之間的模擬差異。結果顯示即使側邊界與下邊界條件在四個系集模擬中完全相同,給予不同的初始擾動後,模式中的熱帶氣旋不論在季節尺度或者年際變化上,皆表現出相當顯著的變異度。除此之外也發現系集平均的結果能夠提供較準確且合理的颱風個數之變化。此研究反映現今颱風模擬在氣候模式中所遭遇的困難,並指出模式的內部動力過程對於颱風的生成有著關鍵的影響,而系集模擬的技術可有效的降低此種變異度帶來的不確定性,為未來颱風氣候研究的課題提供一個有用的參考。

Wu et al. (2016)亦在大氣學門Impact Factor=7.929的Bulletin of the American Meteorological Society (BAMS) 期刊發表。此篇研究進行過去台灣長期(1993~2013年)侵台颱風降水之雨量資料分析與統計研究,釐清台灣地區颱風降水之長期趨勢,以及由測站數多寡與測站高度及其區域分佈對降水資料統計之影響程度,亦探討雨量資料代表性與長期統計結果可信度之科學議題,將對台灣地區探討相關颱風降水統計之方法產生主要影響,此研究成果亦對台灣極端劇烈降水與氣候變遷(climate change)間關係的瞭解有相當助益。

Ko, D. -S., S.-Y. Chao, C.-C. Wu, I-I Lin, and S. Jan, 2016: Impacts of tides and Typhoon Fanapi (2010) on seas around Taiwan. Terr. Atmos. Ocean. Sci., 27, 261-280.

Wu*, C.-C., W.-T. Tu, J.-F. Pun, I-I Lin, and M. S. Peng, 2016: Tropical cyclone-ocean interaction in Typhoon Megi (2010) - A synergy study based on ITOP observations and atmosphere-ocean coupled model simulations. J. Geophys. Res. Atmos., 121, 153-167.

Ko D.-S., S.-Y. Chao, C.-C. Wu, and I.-I. Lin, 2014: Impacts of Typhoon Megi (2010) on the South China Sea. J. Geophys. Res. Atmos., 1-16.

D’Asaro, E. A., P. G. Black, L. R. Centurioni, Y.-T. Chang, S. S. Chen, R. C. Foster, H. C. Graber, P. Harr, V. Hormann, R.-C. Lien, I.-I. Lin, T. B. Sanford, T.-Y. Tang, and C.-C. Wu, 2014: Impact of typhoons on the ocean in the Pacific. Bull. Amer. Meteor. Soc., 1405-1418.

Lin, I.-I., P. Black, J. F. Price, C.-Y. Yang, S. S. Chen, C.-C. Lien, P. Harr, N.-H. Chi, C.-C. Wu, and E. A. D’Asaro, 2013: An ocean coupling potential intensity index for tropical cyclones. Geophys. Res. Lett., 40, 1878-1882.

Zhan, R., Y. Wang, and C.-C.Wu, 2011: Impact of SSTA in East Indian Ocean on the frequency of Northwest Pacific tropical cyclones: A regional atmospheric model study. J. Climate, 24, 6227-6242.

Lin, I-I, M.-D. Chou, and C.-C. Wu, 2011: The impact of a warm ocean eddy on Typhoon Morakot (2009) – A preliminary study from satellite observations and numerical modeling. Terr. Atmos. Ocean. Sci., 22, 661-671.

Lin, I-I, C.-H. Chen, I.-F. Pun, W. T. Liu., and C.-C. Wu, 2009: Warm ocean anomaly, air sea fluxes, and the rapid intensification of tropical cyclone Nargis. Geophys. Res. Lett., 36, L03817.

Lin, I-I, I.-F. Pun, and C.-C. Wu, 2009: Upper ocean thermal structure and the western North Pacific category-5 typhoons. Part II: Dependence on translation speed. Mon. Wea. Rev., 137, 3744-3757.

Lin, I-I, C.-C. Wu, F. Pam, and D.-S. Ko, 2008: Upper ocean thermal structure and the western North Pacific category-5 typhoons. Part I: Ocean features and category-5 typhoon’s intensification. Mon. Wea. Rev., 136, 3288-3306.

Wu*, C.-C., C.-Y Lee, and I-I Lin, 2007: The effect of the ocean eddy on tropical cyclone intensity. J. Atmos. Sci., 64, 3562-3578.

Lin, I-I, C.-C. Wu*, K. A. Emanuel, I-H. Lee, C. Wu, and F. Pan, 2005: The interaction of Supertyphoon Maemi (2003) with a warm ocean eddy. Mon. Wea. Rev., 133, 2635–2649.

Lin, I.-I., W. T. Liu, C.-C. Wu, G. Wong, C. Hu, Z. Chen, W.-D. Liang, Y. Yang, and K.-K. Liu, 2003: New evidence for enhanced ocean primary production triggered by tropical cyclone. Geophys. Res. Lett., 30(13), 1718.

Lin, I.-I., W. T. Liu, C.-C. Wu, J. C. H. Chiang, and C.-H. Sui, 2003: Satellite observations of modulation of surface winds by typhoon-induced ocean cooling. Geophys. Res. Lett., 30(3).

颱風與機器學習/人工智慧

Bodnar, C., W. P. Bruinsma, A. Lucic, M. Stanley, A. Allen, J. Brandstetter, P. Garvan, M. Riechert, J. A. Weyn, H. Dong, J. K. Gupta, K. Thambiratnam, A. T. Archibald, C.-C. Wu, E. Heider, M. Welling, R. E. Turner, and P. Perdikaris, 2025: A foundation model for the Earth system. Nature, 641, 1180–1187.

可靠的地球系統預測對於減輕自然災害與促進人類發展至關重要。傳統數值模式雖然功能強大,但仰賴極高的計算成本。近年來,人工智慧(AI)的進展在提升預測效能與效率方面展現出巨大潛力,然而其在許多地球系統領域的應用仍未被充分探索。本國際合作研究提出 Aurora,一個以超過一百萬小時多樣化地球物理數據訓練而成的大規模基礎模型。Aurora 在空氣品質、海浪、熱帶氣旋路徑以及高解析度天氣預測等多項應用上的表現均超越現行作業系統,且計算成本降低了數個數量級。這種顯著的效率提升,使 Aurora 能以更低成本針對不同應用進行微調,代表了推動精準且高效地球系統預測普及化的重要一步。這些成果凸顯 AI 在環境預測中的革命性潛力,並有望讓使用者更便捷地獲取多元且高品質的氣候與天氣資訊。

Fig. a, Aurora attains better track prediction MAE than several agencies in various regions. Official forecasts are given by OFCL, PGTW, CWA, BABJ, RJTD, RKSL and BoM (in bold). For the North Atlantic and East Pacific, we also compare with various models used in creating OFCL (not bold). A model does not always make forecasts, which means that different columns are computed over different data. Columns are therefore not indicative of model performance and only indicate the performance compared with Aurora. Here ‘≈’ indicates that the 95% confidence interval for the cell contains zero (see Supplementary Information Section I.3.4 for details). On average, Aurora is 20% better than other agencies in the North Atlantic and East Pacific, 18% in the Northwest Pacific and 24% in the Australian region (Aus.). b, On 21 July, a tropical depression intensified into a tropical storm and was named Typhoon Doksuri. Typhoon Doksuri would become the costliest Pacific typhoon so far, inflicting more than US$28 billion in damage. The black lines show its ground-truth paths extracted from IBTrACS40,41. Aurora correctly predicts that Typhoon Doksuri will make landfall in the Northern Philippines, whereas PGTW predicts that it will pass over Taiwan.

Loi#, C. L., K.-C. Tseng, and C.-C. Wu*, 2025: Predictability of tropical cyclone track density in S2S reforecast. npj Clim. Atmos. Sci., 8, 24 (2025).

透過資訊理論解密熱帶氣旋次季節可預報度
不同於受初始條件影響的天氣尺度(3-7天)決定性預報,以及受到強烈的邊界條件(海氣交互作用)影響的季節預報,次季節預報介於傳統預報訊噪比(signal-to-noise ratio)最小的位置,使得熱帶氣旋在2-5週的預報尤具挑戰性,也因而被稱為「可預報度沙漠」(Predictability Desert)。此研究利用Average Predictability Time (APT)方法探討颱風路徑密度在ECMWF S2S再預測系集的可預報度。當中最可預報的APTM-1,其APT為大約三週,且與BSISO、季風變異度密切相關。另一發現是APTM-7跟MRG-TD波活動的連繫。本工作有望幫助提升未來颱風中期預報的準確度,亦明確指出了熱帶變異性如何影響颱風的可預報度。研究成果刊登於npj-氣候與大氣科學(npj-Climate and Atmospheric Science)期刊。

Fig. 17. A Schematic of the APT analysis. The variance of blue (red) curve saturates more slowly (quickly) and has a larger (smaller) colored area, hence a longer (shorter) APT.

Loi#, C. L., C.-C. Wu*, and Y.-C. Liang, 2024: Prediction of tropical cyclogenesis based on machine learning methods and its SHAP Interpretation. J. Adv. Model. Earth Syst., 16, 1-20.

以機器學習方法及SHAP詮釋預測熱帶氣旋
此研究使用AI機器學習方式,配合大量大氣及海洋再分析資料,訓練隨機森林、支持向量機、和神經網絡三個機器學習模型,預測24小時內熱帶擾動生成能否發展為熱帶氣旋。分析發現中層(500百帕)渦度是影響熱帶氣旋在24小時內生成的最關鍵因素,風切及渦管傾斜作用也具一定重要性。此研究以颱風哈隆為例,展示各變數對其生成預測機率之影響,增加機器學習模型的可靠度,並提升熱帶氣旋生成預警之準確度。最後提出目前以機器學習方式預測熱帶氣旋生成的一些問題,同時提出針對各問題未來研究的可改善方向。

Fig. 5. Beeswarm plots showing the SHAP values for each feature in each test sample as colored dots for the model of (a) Random Forest, (b) SVC, (c) Artificial Neural Network (ANN). X-axis is SHAP value and y-axis represents different variables. Cooler (Warmer) color represents a relatively lower (higher) value of the variable. The features are ranked in terms of mean absolute SHAP values (as an indicator of importance) from the top (more important) to the bottom (less important).